Opgeladen: 22-3-2021
Opgeborgen in: Langer leven & leefstijl
Translation: Do you want to live longer? Eat more fruits and vegetables (without agro-industrial toxins) (23-3-2021)

Wil je langer leven? Eet meer groenten en fruit (zonder giftige stoffen, alstublieft)

Als je langer wilt leven, dan is het verhogen van de inname van groenten en fruit één van de slimste dingen die je kunt doen. Maar dan moet je er wel van op aan kunnen dat er geen agro-industriële gifstoffen zoals zware metalen of bestrijdingsmiddelen in zitten...

Studie
Yuxuan Gu, een gezondheidswetenschapper van Zhejiang University School of Medicine, gebruikte de gegevens van 19542 volwassenen die participeerden in de China Health and Nutrition Survey.

Wil je langer leven? Eet meer groenten en fruit (zonder giftige stoffen, alstublieft)
Gu kon de studiedeelnemers gemiddeld 14 jaar volgen. In die periode overleden 1409 studiedeelnemers.

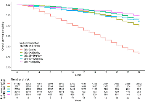
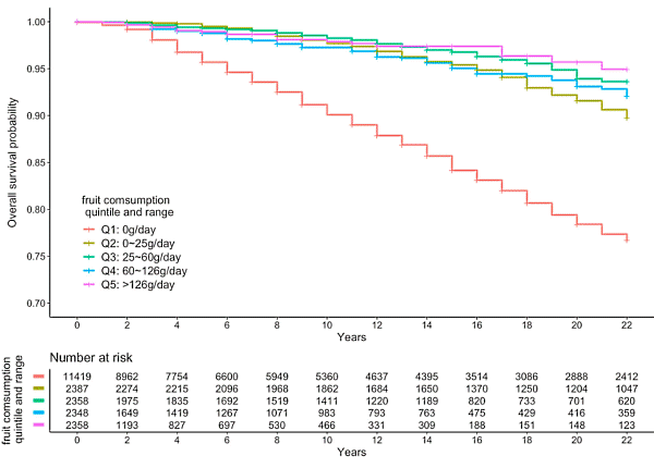
Aan de hand van hun inname van groenten, fruit en groenten en fruit gezamenlijk, kon Gu de studiedeelnemers in 5 ongeveer even grote groepen verdelen. Vervolgens bepaalde Gu het verband tussen de kans op overlijden en de sterftekans.

Resultaten
De optimale inname van groenten in deze studies was 327-408 gram per dag. De optimale inname van fruit was meer dan 126 gram per dag.

De eerste figuur hieronder heeft betrekking op de inname van groenten, de tweede op die van fruit, de derde op de inname van groenten en fruit gezamenlijk. Klik op de figuren voor een grotere versie.


Wil je langer leven? Eet meer groenten en fruit (zonder giftige stoffen, alstublieft)


Wil je langer leven? Eet meer groenten en fruit (zonder giftige stoffen, alstublieft)


Wil je langer leven? Eet meer groenten en fruit (zonder giftige stoffen, alstublieft)


Een hoge inname van groenten verlaagde dus de sterftekans, maar de allerhoogste inname beschermde een tikkie minder goed dan de op 1-na-hoogste inname. Hoe dat precies kan heeft Gu niet onderzocht, maar ze heeft er wel een theorie over.

Giftige stoffen
"The heavy metals in vegetables which often aggregate in the edible part is of growing concern in China due to the contaminated soils and irrigation water", schrijft ze.

"Pesticide residue in vegetables is also a problem in China which was reported by Xu and her colleagues, showing that approximately 40% of collected samples tested positive for different kinds of pesticides and 6.1% exceeded the Chinese residue limits."

"Long term exposure to vegetables with heavy metals and pesticide residues is extremely hazardous to human health. High intake of vegetables increases the risk of exposure to these harmful substances which may counteract the benefits of vegetables."

Die situatie is niet uniek voor China. Tot in de jaren zeventig van de vorige eeuw was de kwaliteit van groenten en fruit in onze contreien waarschijnlijk niet veel beter dan die in het China van nu.

Bron:
Int J Environ Res Public Health. 2021 Jan 5;18(1):342.

Meer:
Dieet met veel groenten vermindert sterftekans en kans op kanker (6-6-2015)
Optimale inname van groenten en fruit is een halve kilo per dag (22-10-2014)
Langer leven? Slik geen pillen, eet meer groenten... (3-4-2014)


Deze twee groentensoorten zijn (nog) beter voor je bloedvaten Richtlijnen groenten en fruit zijn te bescheiden Groenteneters zijn gelukkiger en creatiever

Deze twee groentensoorten zijn (nog) beter voor je bloedvaten
Groenten zijn natuurlijk gezond voor je bloedvaten, maar de ene groente is de andere niet.

Richtlijnen groenten en fruit zijn te bescheiden
In Nederland vertelt het Voedingscentrum ons dat we elke dag twee ons groenten en twee stuks fruit moeten eten, in Amerika houdt het ministerie van landbouw de Amerikanen voor dat ze elke dag twee porties fruit en drie porties groenten moeten binnenkrijgen.

Groenteneters zijn gelukkiger en creatiever
Mensen die veel groenten en fruit eten hebben meer levensgeluk en zijn creatiever dan mensen die weinig groenten en fruit eten.