Opgeladen: 21-6-2025
Opgeborgen in: Longevity
Translation: Diversity of flavonoids in your diet keeps you healthy (22-6-2025)

Diversiteit aan flavonoïden in je voeding houdt je gezond

Als je in optimale gezondheid verrektes oud wilt worden, zorg er dan voor dat je voeding veel flavonoïden bevat. Of zorg ervoor dat er in je voeding veel verschillende soorten flavonoïden zitten. Of nog beter, doe allebei.


Diversiteit aan flavonoiden in voeding houdt je gezond


Studie
Onderzoekers van Queen's University Belfast analyseerden gegevens van 124.805 Britse 40-plussers, die waren verzameld in het UK Biobank-project.

In 2006-2012 bepaalden de onderzoekers de hoeveelheid en het type flavonoïden in de voeding van de studiedeelnemers. In 2020-2022 keken ze welke studiedeelnemers waren overleden of chronisch ziek waren geworden - en bijvoorbeeld een cardiovasculaire ziekte, type-2 diabetes of kanker hadden gekregen.

Resultaten
Hoe groter de totale hoeveelheid flavonoïden was, hoe groter was de kans dat de studiedeelnemers nog levend en gezond waren. Hetzelfde gold voor de diversiteit van de flavonoïden in de voeding.

De onderzoekers verdeelden de studiedeelnemers aan de hand van hun totale inname van flavonoïden in 5 even grote groepen of quintielen. De gemiddelde inname in het quintiel met de laagste inname was ongeveer 230 milligram flavonoïden per dag. In het quintiel met de hoogste inname was dat 1400 milligram per dag.

Op een vergelijkbare manier verdeelden de onderzoekers de studiedeelnemers in quintielen aan de hand van de diversiteit van hun inname van flavonoïden.

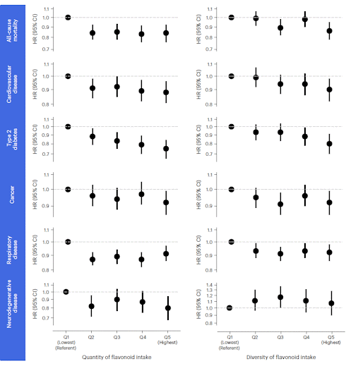
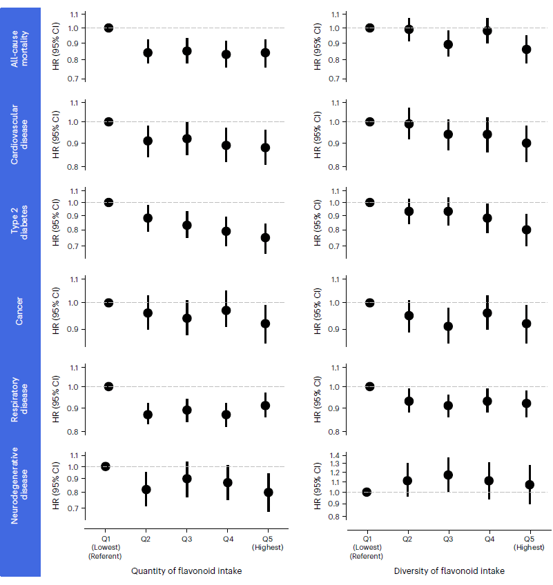
In de tabel hieronder zie je dat zowel een hoge totale inname van flavonoïden als een hoge mate van diversiteit de kans op dood en ziekte met 8-20 procent vermindert.


Diversiteit aan flavonoiden in voeding houdt je gezond


Diversiteit aan flavonoiden in voeding houdt je gezond


Klik op de figuur hierboven voor een grotere versie.

De totale hoeveelheid flavonoïden en diversiteit zijn dus ongeveer even belangrijk. Een hoge inname van thee en rode druiven - twee belangrijke bronnen van flavan-3-olen - vermindert dus de kans op sterfte, maar als je daarnaast ook relatief veel voedingsbronnen van andere flavonoïden binnenkrijgt, verlaag je die kans dus nog verder.

De figuur hieronder geeft je een idee aan welke voedingsmiddelen je dan moet denken.


Diversiteit aan flavonoiden in voeding houdt je gezond


Bron:
Nat Food. 2025 Jun 2. doi: 10.1038/s43016-025-01176-1. Online ahead of print.

Meer:
Hoe flavonoïden en carotenoïden in voeding beschermen tegen depressie (3-1-2022)
Deze drie flavonoïden in citrusvruchten zijn antioestrogenen (18-9-2021)
Flavonoïden in voeding verlengen je levensduur (27-5-2015)
Flavonoïden beschermen tegen diabetes type-2 (21-5-2013)


Verhoog je inname van flavonoiden, en verlaag je vetpercentage Flavonoiden remmen omzetting van calorieen in vet Cyanidine, de levensverlenger in blauwe bessen

Verhoog je inname van flavonoïden, en verlaag je vetpercentage
Als je iets wilt doen aan die overtollige vetreserves, dan ga je natuurlijk er eerst voor zorgen dat je minder calorieën consumeert en meer calorieën door beweging verbrandt. Da's logisch. Maar...

Flavonoïden remmen omzetting van calorieën in vet
Chinese fysiologen ontdekten dat het enzym dat vetcellen laat groeien minder goed werkt als het wordt blootgesteld aan flavonoïden.

Cyanidine, de levensverlenger in blauwe bessen
Blauwe bessen zijn niet goedkoop, maar misschien loont het de moeite om ze op te nemen in je voedingspatroon. Als je tenminste een gezondheidsfanaat bent van het type dat graag ouder dan een eeuw wil worden.