|
Metastudie negatief over werkzaamheid HMB
HMB werkt niet. Dat oordeel vellen Canadese bewegingswetenschappers van McMaster University in een metastudie die is verschenen in Nutrients. Maar als wij, de samenstellers van dit gratis webmagazijn, een blik op de figuren in de studie werpen, zijn we vooralsnog niet van zins om dit standpunt over te nemen.
Studie
Dat gold ook voor cross over-studies.
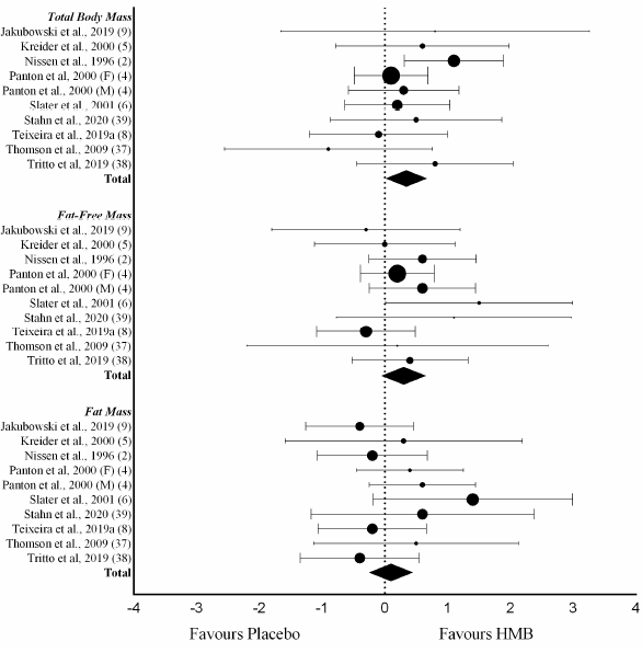
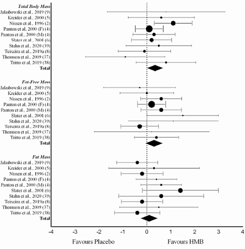
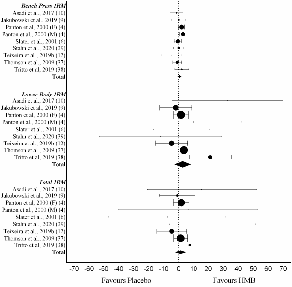
Resultaten
Klik op de figuren hieronder voor een grotere versie.
Wat de lichaamskracht betreft, er was een trend dat HMB-suppletie leidde tot een toename van de lichaamskracht - maar die toename maar die was weer niet statistisch significant.
Conclusie
"In addition, effects on strength were also not significant."
"Our results [...] show that HMB is not an effective anabolic supplement."
Wijzelf vragen ons af of dat harde oordeel wel gerechtvaardigd is. Voor een supplement dat niet werkt zijn er toch wel heel errug veel studies die concluderen dat HMB wel degelijk iets doet. Een attente lezer stuurde ons zojuist nog zo'n studie toe. Daarover schrijven we morgen. Bron:
Meer:
|
|
||||||||||||||||||||||||||||||||||||