Opgeladen: 12-12-2017
Opgeborgen in: HMB
Translation: Not yet

Combinatie van krachttraining en HMB Free Acid: meer spierkracht, groeihormoon, IGF-1 en testosteron

Als jonge mannen gaan krachttrainen, versnelt suppletie met 3 gram HMB Free Acid de toename van hun spierkracht. Dat ontdekten bewegingswetenschappers van de universiteit van Guilan in Iran. HMB Free Acid verhoogt de concentratie van anabole hormonen als testosteron, groeihormoon en IGF-1, en verlaagt die van het katabole cortisol.

Studie
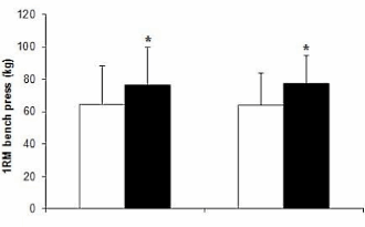
De onderzoekers lieten twee groepen van elk 8 mannelijke studenten gedurende zes weken trainen met gewichten. Twee keer per week werkten de studenten een basaal trainingsprogramma van 70-80 minuten af, dat bestond uit oefeningen als de leg-press, lex-extensions, lat-pulldown, bankdrukken, de shoulder-press, de biceps-curl en triceps-pushdown. De studenten trainden met 75-85 procent van de belasting waarmee nog net 1 rep mogelijk was.

De experimentele groep slikte 's ochtends, 's middags en 's avonds een capsule met 1 gram HMB Free Acid. In totaal slikten de proefpersonen dus 3 gram HMB Free Acid per dag. De onderzoekers gebruikten trouwens BetaTor van het Duitse Body Attack.


Combinatie van krachttraining en HMB Free Acid: meer spierkracht, groeihormoon, IGF-1 en testosteron



De controlegroep slikte een placebo zonder actieve stoffen.

Resultaten
Het gewicht waarmee de proefpersonen nog 1 rep konden leg-pressen of bankdrukken [de 1RM] nam bij beide groepen toe, maar de progressie van de maximaalkracht bij de leg-press was groter bij de HMB Free Acid-gebruikers.


Combinatie van krachttraining en HMB Free Acid: meer spierkracht, groeihormoon, IGF-1 en testosteron


Combinatie van krachttraining en HMB Free Acid: meer spierkracht, groeihormoon, IGF-1 en testosteron


Combinatie van krachttraining en HMB Free Acid: meer spierkracht, groeihormoon, IGF-1 en testosteron



Mechanisme
Toen de onderzoekers in het bloed van de studenten in rust de concentratie van een aantal anabole hormonen [groeihormoon of GH, IGF-1 en testosteron of TEST] en katabole hormonen[cortisol of CORT en ACTH] bepaalden, zagen ze dat suppletie met HMB Free Acid de concentratie van de anabole factoren liet toenemen, en die van de katabole hormonen verminderde.


Combinatie van krachttraining en HMB Free Acid: meer spierkracht, groeihormoon, IGF-1 en testosteron



Conclusie
"In summary, the results of this six-week study demonstrated the efficacy of HMB Free Acid supplementation on strength and power performance", schrijven de onderzoekers. "The use of these supplements appears to provide greater changes compared with placebo supplementation."

"HMB Free Acid supplementation altered resting hormonal concentrations, and the results appear to be the first examination suggesting that HMB Free Acid supplementation for six weeks can promote a significantly greater post-training increase in GH and IGF-1."

"To reduce catabolic hormones, HMB Free Acid induced very large, meaningful effects in CORT and ACTH concentrations after six weeks of training intervention."

"It could be concluded that six weeks of HMB Free Acid supplementations induced meaningful increases in anabolic hormones with reduction of catabolic hormones and remarkable gains in strength and power performance."

Bron:
Nutrients. 2017 Dec 2;9(12). pii: E1316. doi: 10.3390/nu9121316.

Meer:
Anabole werking van ouderwetse vorm van HMB gelijk aan die van HMB Free Acid (20-11-2017)
Je wordt fitter door high intensity interval training met HMB Free Acid (13-5-2014)
Twaalf weken trainen met HMB Free Acid: 7 kg vetvrije massa erbij, 5 kg vet eraf (29-3-2014)


HMB Free Acid versus HMB Old Shit

HMB vermindert ook bij duursporters de spierafbraak

HMB, de myostatine-remmer van de supplementenboer

HMB Free Acid versus HMB Old Shit
Wat zijn nou precies de verschillen?

HMB vermindert ook bij duursporters de spierafbraak
Onderzoek uitgevoerd op duursporters die de 20K renden.

HMB, de myostatine-remmer van de supplementenboer
Net als leucine en creatine remt HMB myostatine. Alle drie deze stoffen doen dat op een iets andere manier, en dus...