|
Dit is de aller-aller-ongezondste voedingsgewoonte van allemaal | En dit is de aller-aller-gezondste... De allerongezondste voedingsgewoonte van allemaal? Dat is volgens een Amerikaans-Chinees onderzoek het snacken met chips en koekjes. En de allergezondste voedingsgewoonte? Dat is een avondmaaltijd met een royale hoeveelheid groenten.
Studie In die periode overleden 2192 studiedeelnemers; 676 als gevolg van hart- en vaatziekten en 476 als gevolg van kanker. Toen de onderzoekers het gezondheidseffect van voeding berekenden, corrigeerden ze voor alle mogelijke factoren.
Resultaten Een andere gezonde gewoonte was het opnemen van fruit bij het ontbijt. Ook die gewoonte verminderde de kans op overlijden. Een ontbijt met fruit verminderde de kans op overlijden door hart- en vaatziekten. Klik op de figuur hieronder voor een grotere versie.
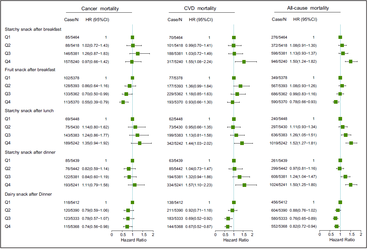
De onderzoekers keken ook naar snackgewoonten. Studiedeelnemers die na het ontbijt snackten met fruit, en na de grote maaltijd snackten met zuivel, verlaagden hun kans op overlijden. Snacks met zetmeel - zoals chips en koekjes - verhoogden daarentegen de kans op overlijden. Het maakte niet uit na welke maaltijd de studiedeelnemers die snacks consumeerden; starchy snacks waren altijd ongezond. Klik op de figuur hieronder voor een grotere versie.
De figuren hieronder vatten de uitkomsten nog eens samen. De onderzoekers berekenden de positieve en negatieve effecten door de studiedeelnemers in het hoogste kwartiel te vergelijken met de studiedeelnemers in het laagste kwartiel. Ze vergeleken bijvoorbeeld de 25 procent van de studiedeelnemers die de meeste groenten bij het avondeten consumeerden met de 25 procent van de studiedeelenemers die de kleinste hoeveelheid bij het avondeten consumeerden.
Conclusie "This information is of importance in providing nutritional recommendations for the public." Bron: Meer:
|
|
||||||||||||||||||||||||||||||||||||