Opgepoetst: 18-5-2021
Opgeladen: 26-3-2012
Opgeborgen in: Eiwitten, Vlees, Levensverlenging & leefstijl
Translation: Survival tip: eat chicken instead of beef (23-4-2012)

Vervang biefstuk door kipfilet, en leef langer

Voor zover epidemiologisch onderzoek met harde bewijzen kan komen, is het het harde bewijs dat vleesconsumptie het leven kan verkorten geleverd door onderzoekers van Harvard onder leiding van Walter Willett en Frank Hu. Hun studie in de Archives of Internal Medicine vertelt iedereen die een eiwitrijk dieet wil volgen welke gezondere alternatieven er zijn voor vlees.


Overleeftip: vervang biefstuk door kipfilet


Rood vlees
In grote hoeveelheden is het organische ijzer in rood vlees voor veel volwassenen een beetje teveel van het goede. Dat geldt in vergelijkbare mate voor stoffen als heterocyclische amines, die ontstaan als vlees tijdens het bakken verbrandt.

Onderzoekers vermoeden al jaren dat een hoge inname van rood vlees - de verzamelnaam voor spiervlees van zoogdieren - de kans op darmkanker en hart- en vaatziekten kan verhogen en de levensduur kan verkorten. [Arch Intern Med. 2009 Mar 23;169(6):562-71.]

Interessante theorie. Maar leef je ook langer als je rood vlees vervangt door gezondere eiwitrijke voedingsmiddelen? Een studie die dat aantoonde was er nog niet.

Studie
De Harvardianen gebruikten gegevens uit de Health Professionals Follow-up Study en de Nurses Health Study. In het eerste onderzoek volgden ze veertigduizend mannen tussen 1986 en 2008, in het tweede tachtigduizend vrouwen tussen 1980 en 2008. Toen ze de gegevens samenveegden zagen de onderzoekers dat voor elke roodvleesconsumptie per dag de kans op sterfte met 16 procent toenam.

Vooral samengesteld vlees [Processed red meat] [zeg maar: boterhamworst, frikadellen of knakworsten] verhoogde de sterftekans.


Overleeftip: vervang biefstuk door kipfilet


Overleeftip: vervang biefstuk door kipfilet


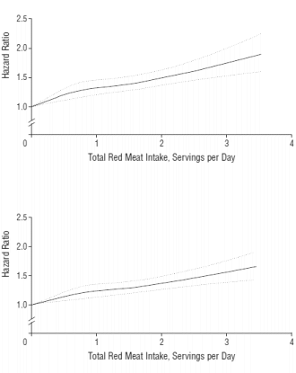
In de figuren hierboven geeft de bovenste curve het risico op overlijden voor de mannen weer, en die eronder het risico voor de vrouwen.

De verbanden die de Harvardianen vonden zijn statistisch significant, ook al zijn de gevonden risico's niet groot. Alcoholmisbruik, roken en overgewicht zijn stuk voor stuk riskanter. Maar aan de andere kant: als alle deelnemers aan de studies niet meer dan 42 gram rood vlees per dag hadden gegeten, dan was 9.3 procent van de overleden mannen en 7.6 procent van de overleden vrouwen in 2008 nog in leven geweest.

De onderzoekers konden berekenen wat het effect is van vervanging van rood vlees door noten, kip, vis, magere zuivel en andere voedingsmiddelen. Zoals je hieronder ziet zijn noten de gezondste vervangers van vlees. Noten zijn echter geen goede eiwitbron. Op de tweede plaats komt kip. En kip is wel een goede eiwitbron.

Klik op de figuur hieronder voor een grotere versie.


Overleeftip: vervang biefstuk door kipfilet


Bron:
Arch Intern Med. 2012 Apr 9;172(7):555-63.

Meer:
Waarom kipfilet meer bijdraagt aan spiergroei dan biefstuk (10-5-2020)
Met biefstuk kun je honderd worden, met knakworsten niet (14-10-2016)
Leef je langer als je veel vlees eet? (20-8-2016)


Wat gebeurt er als je een jaar alleen maar vlees eet? Gehaktbal en tartaar stimuleren spiergroei meer dan steak Shake met beef protein of hydrolyzed chicken protein na je workout werkt net zo goed als whey

Wat gebeurt er als je een jaar alleen maar vlees eet?
Een wetenschapper doet experimenten met proefpersonen en wordt beroemd. Zo gaat het meestal. Maar in de jaren twintig gebeurde het een keer andersom.

Gehaktbal en tartaar stimuleren spiergroei meer dan steak
De spieren van oudere mannen die niet meer goed kunnen kauwen reageren beter op maaltijden met gehakt of tartaar dan op maaltijden met steak.

Shake met beef protein of hydrolyzed chicken protein na je workout werkt net zo goed als whey
Sporters die om wat voor reden dan ook liever geen shake met zuiveleiwitten willen gebruiken kunnen ook producten gebruiken op basis van rundvleeseiwit en kippeneiwit.