Opgeladen: 1-12-2023
Opgeborgen in: Testosteron & leefstijl, Afslanken
Translation: Slimming diet masculinizes fat men | Meta-study (2-12-2023)

Na afslankdieet is dikke man mannelijker, aldus metastudie

Als mannen met meer lichaamsvet dan gezond is hun testosteronspiegel willen verhogen, kunnen ze natuurlijk zichzelf extra testosteron toedienen - met alle risico's die daaraan vastzitten. Of ze reduceren hun vetpercentage. Dat werkt ook.


Na afslankdieet is dikke man mannelijker, aldus metastudie


Studie
In 2022 publiceerde Stephen Smith, als research manager verbonden aan het Australische particuliere onderzoekscentrum Clinical Research Australia, een metastudie waarin hij de uitkomsten van 7 eerder gepubliceerde trials aggregeerde en opnieuw analyseerde. In de trials hadden onderzoekers mannen 1-52 weken laten afslanken en het effect daarvan op hun testosteronhuishouding bepaald.

Resultaten
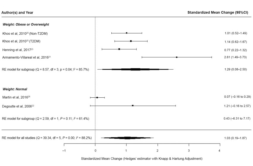
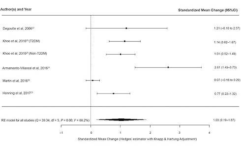
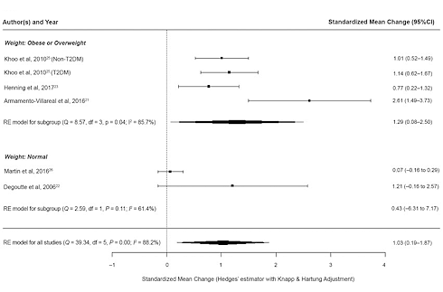
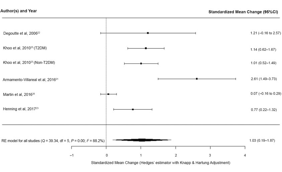
Afslanken verhoogde de testosteronspiegel, zie je in de eerste figuur hieronder. Maar de toename van de testosteronspiegel is statistisch alleen significant als de proefpersonen bij aanvang van hun afslankdieet te zwaar zijn. Dat vertelt de tweede figuur.

Klik op de figuren voor een grotere versie.


Na afslankdieet is dikke man mannelijker, aldus metastudie


Na afslankdieet is dikke man mannelijker, aldus metastudie


De figuren hierboven hebben betrekking op de totale testosteronspiegel, niet op het biobeschikbare testosteron. Het zou zomaar kunnen dat maar een deel van de extra hoeveelheid testosteron die door gewichtsreductie in het lichaam circuleert biobeschikbaar is. Door afslanken neem ook de concentratie van het SHBG in de bloedbaan toe. Weliswaar niet in de mate waarin de concentratie van het totale testosteron toeneemt, maar toch.

SHBG is een transporteiwit. Testosteron dat vastzit aan SHBG is niet meer actief.

Mechanisme
Smith vermoedt dat een reductie van het lichaamsgewicht de gevoeligheid voor insuline verhoogt. Daardoor produceren vetcellen minder factoren die in de hersenen de afgifte van stuurhormonen afremmen. Die stuurhormonen stimuleren in de testes de productie van testosteron.

Tegelijkertijd zorgt een afslankdieet ervoor dat vetcellen minder testosteron omzetten in estradiol en minder ontstekingseiwitten afgeven. Die ontstekingseiwitten remmen in de testes de aanmaak van testosteron.


Na afslankdieet is dikke man mannelijker, aldus metastudie


Bron:
Nutr Rev. 2022 Apr 8;80(5):1222-36.

Meer:
Na maagverkleining stijgt testosteronspiegel, erectiestoornis blijft (5-1-2013)
Overgewicht halveert testosteronspiegel in tieners (2-10-2012)
Afvallen maakt dikke mannen mannelijker (6-9-2011)
Dikke buik neutraliseert DHT (2-12-2010)


Meer testosteron en minder estradiol bij koffiedrinkers Handje hazelnoten per dag helpt heer op leeftijd aan meer testosteron Leeftijd geen factor in testosteronspiegel vijftigplussers

Meer testosteron en minder estradiol bij koffiedrinkers
In het bloed van koffiedrinkers circuleert een beetje meer testosteron en een beetje minder estradiol dan in het bloed van niet-koffiedrinkers. Epidemiologische studie.

Handje hazelnoten per dag helpt heer op leeftijd aan meer testosteron
Als mannen de leeftijd der sterken bereiken, zakt hun testosteronspiegel. Een Turkse dierstudie doet vermoeden dat suppletie met hazelnoten daaraan misschien iets kan doen.

Leeftijd geen factor in testosteronspiegel vijftigplussers
Amerikaanse fysiologen onderzochten zo'n drieduizend gezonde mannen van 50-79 jaar en vonden geen verband tussen leeftijd en testosteron. Wel tussen BMI, fitheid en testosteron.