Opgeladen: 13-12-2017
Opgeborgen in: Vitamine K, Vitamines, Levensverlenging & leefstijl, Levensverlenging & suppletie, Hart & bloedvaten
Translation: Not yet

Te lage inname vitamine K verhoogt bij 1 op de 3 mensen de kans op overlijden

Ongeveer 1 op de 3 mensen krijgt te weinig vitamine K binnen, en overlijdt daardoor mogelijk voortijdig door de gevolgen van een te hoge bloeddruk, een hartaanval, beroerte of diabetes. Voor die groep is suppletie met extra vitamine K misschien een uitkomst, schrijven Nederlandse onderzoekers in Nutrients.

Studie
De onderzoekers bestudeerden 4275 inwoners van Groningen, die in 1997-98 28-75 jaar oud waren, en volgden die tot 2011.

Toen de studie begon, bepaalden de onderzoekers hoeveel desphospho-uncarboxylated matrix Gla protein [dp-ucMGP] er in het bloed van de studiedeelnemers zat. Hoe hoger die spiegel is, hoe minder vitamine K circuleert er in je lichaam.

Vitamine K houdt zachte weefsels - waaronder de bloedvaten - soepel. Er zijn aanwijzingen dat door een te lage vitamine K-inname [de vitamine zit in bladgroenten en gefermenteerde levensmiddelen, zoals kaas, kwark en natto] bloedvaten en andere weefsels verkalken, en de sterftekans toeneemt.

Resultaten
Als de dp-ucMGP-spiegel boven de 500 picomol per liter klimt, spreken voedingswetenschappers van een tekort aan vitamine K. Acute gezondheidsklachten hoeven dan nog niet te ontstaan, maar de kans op negatieve gezondheidseffecten op de langere termijn is niet denkbeeldig. Maar liefst 31 procent van de studiedeelnemers had zo'n te hoge dp-ucMGP-spiegel - en kreeg dus te weinig vitamine K binnen.

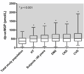
In het bloed van de studiedeelnemers met een te hoge bloeddruk, type-2-diabetes, nieraandoeningen en hart- en vaatziekten vonden de onderzoekers inderdaad hogere concentraties dp-ucMGP.


Te lage inname vitamine K verhoogt bij 1 op de 3 mensen de kans op overlijden

Te lage inname vitamine K verhoogt bij 1 op de 3 mensen de kans op overlijden

Te lage inname vitamine K verhoogt bij 1 op de 3 mensen de kans op overlijden



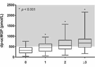
Hoe meer chronische ziekten de studiedeelnemers hadden, hoe meer dp-ucMGP zat er in hun bloed. Dat vertelt de figuur hierboven.

Het zal je niet verbazen dat de kans op sterfte bij de studiedeelnemers met een relatief hoge dp-ucMGP-spiegel hoger was dan bij de studiedeelnemers met een relatief lage dp-ucMGP-spiegel.

Dat verband gold vooral voor de sterfte door een cardiovasculaire oorzaak.


Te lage inname vitamine K verhoogt bij 1 op de 3 mensen de kans op overlijden


Te lage inname vitamine K verhoogt bij 1 op de 3 mensen de kans op overlijden



Conclusie
"This study provides insights into the prevalence of functional vitamin K insufficiency and its clinical implications in a large general population-based cohort", resumeren de onderzoekers. "We demonstrated that functional vitamin K insufficiency is common in the general population and occurs even more frequently among the elderly and subjects with hypertension, type 2 diabetes, CKD, and CVD."

"Furthermore, we found that plasma dp-ucMGP was curvilinearly associated with an increased risk for all-cause and cardiovascular mortality."

"Importantly, a low vitamin K status is not only a clinically relevant risk factor for adverse health outcomes, but may also be a modifiable risk factor. Given the availability of vitamin K supplements, vitamin K insuffiency seems an attractive target for preventive intervention."

"Future prospective clinical trials are needed to investigate whether the correction of low vitamin K status can indeed improve health outcomes."

Bron:
Nutrients 2017, 9(12), 1334; doi:10.3390/nu9121334.

Meer:
Je leeft langer als er veel vitamine K in je voeding zit (9-5-2014)
Dierstudie: vitamine K maakt verkalkte bloedvaten weer schoon (12-12-2006)


Voedingspatroon met weinig vitamine K1 maakt kniegewricht kwetsbaar voor artrose

Vitamine K-suppletie vermindert vetmassa

Meer vitamine K2, meer testosteron

Voedingspatroon met weinig vitamine K1 maakt kniegewricht kwetsbaar voor artrose
Als je weinig vitamine K1 binnenkrijgt is je kans op artrose in je kniegewricht groter dan als er wel geregeld spinazie, broccoli of andere levensmiddelen met veel vitamine K1 op je bord liggen.

Vitamine K-suppletie vermindert vetmassa
Dierstudie van Japanse makelij.

Meer vitamine K2, meer testosteron
De lijst supplementen die misschien de aanmaak van testosteron verhogen is dankzij deze dierstudie weer wat langer geworden.