Opgeladen: 15-5-2020
Opgeborgen in: Vitamine K, Vitamines, Hart & bloedvaten, Kankerpreventie
Translation: You'll live longer if your diet contains lots of vitamin K (20-5-2014)

Je leeft langer als er veel vitamine K in je voeding zit

Hoe meer vitamine K [structuurformules hieronder] je via je voeding binnenkrijgt, hoe kleiner is de kans dat je overlijdt aan een hartaanval of door kanker. Spaanse epidemiologen deden die ontdekking toen ze 7216 deelnemers 55-plussers vijf jaar volgden. Volgens de onderzoekers is het verhogen van je inname van vitamine K via voedingsmiddelen één van de slimmere dingen die je als levensverlenger kunt doen.

Vitamine K
Vitamine K is niet één stof, maar een groep verbindingen die je grofweg in twee subgroepen kunt verdelen: vitamine K1 - heet ook wel phylloquinone - en vitamine K2 - heet ook wel menaquinone. Vitamine K1 zit in groenten, en dan vooral in boerenkool en spinazie, vitamine K2 zit vooral in gefermenteerde levensmiddelen zoals kaas, kwark, yoghurt en natto.

Het lichaam heeft vitamine K nodig om het enzym gamma-glutamyl-carboxylase te laten werken. Dat enzym is betrokken bij de opbouw van botten, maar ook bij het soepel houden van de vaatwanden. Epidemiologen hebben wel eens gerapporteerd dat mensen die veel vitamine K2 consumeren minder kans op hart- en vaatziekten hebben. [Nutr Metab Cardiovasc Dis. 2009 Sep;19(7):504-10.]

Vitamine K
Vitamine K is ook betrokken bij de bloedstolling. Antistollingsmedicijnen werken vaak doordat ze vitamine K buiten spel zetten.

Bovendien lijkt vitamine K kankercellen af te remmen. Een hoge inname van vitamine K2 verminderde in studies de kans op prostaatkanker met bijna de helft [Am J Clin Nutr. 2008 Apr;87(4):985-92.] en verminderde bovendien de kans op sterfte door kanker in het algemeen. [Am J Clin Nutr. 2010 May;91(5):1348-58.]

Studie
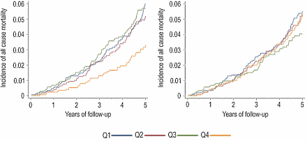
De Spanjaarden schrijven in de Journal of Nutrition dat ook in hun studie - die betrekking had op 7216 55-plussers met een verhoogde kans op cardiovasculaire aandoeningen - vitamine K beschermt tegen kanker en hart- en vaatziekten. De onderzoekers verdeelden hun deelnemers in 4 groepen aan de hand van inname van vitamine K1 en K2, en zagen dat de sterfte in de groep met de hoogste inname van K [Q4] lager was dan in de andere groepen.

Dat gold vooral voor de inname van K1 [linksonder], maar - in mindere mate - ook voor de inname van K2 [rechtsonder].


Hoe meer vitamine K [structuurformule hiernaast] je via je voeding binnenkrijgt, hoe kleiner is de kans dat je overlijdt aan een hartaanval of door kanker. Spaanse epidemiologen deden die ontdekking toen ze 7216 deelnemers 55-plussers vijf jaar volgden. Volgens de onderzoekers is het verhogen van je inname van vitamine K via voedingsmiddelen één van de slimmere dingen die je als levensverlenger kunt doen.


Beschermt tegen kanker
Toen de onderzoekers alle factoren wegpoetsten die ze konden bedenken - ook de inname van groenten - ontdekten ze dat een hoge inname van vitamine K2 [gemiddelde inname van Q4 was 57.5 microgr/dag] de kans op sterfte door kanker verminderde, maar dat die vermindering niet statistisch significant was. Effect op de totale sterftekans had vitamine K2 niet.


Hoe meer vitamine K [structuurformule hiernaast] je via je voeding binnenkrijgt, hoe kleiner is de kans dat je overlijdt aan een hartaanval of door kanker. Spaanse epidemiologen deden die ontdekking toen ze 7216 deelnemers 55-plussers vijf jaar volgden. Volgens de onderzoekers is het verhogen van je inname van vitamine K via voedingsmiddelen één van de slimmere dingen die je als levensverlenger kunt doen.


Het beschermende effect van vitamine K1 was overtuigender. Een hoge inname van vitamine K1 [de gemiddelde inname van Q4 was 626.4 microgr/dag] verminderde de kans op sterfte door kanker, en dat effect was wel statistisch significant.

Beschermt tegen hart- en vaatziekten
De vermindering van de kans op hart- en vaatziekten door een hoge inname van vitamine K1 was niet significant, het effect op de totale sterftekans weer wel.


Hoe meer vitamine K [structuurformule hiernaast] je via je voeding binnenkrijgt, hoe kleiner is de kans dat je overlijdt aan een hartaanval of door kanker. Spaanse epidemiologen deden die ontdekking toen ze 7216 deelnemers 55-plussers vijf jaar volgden. Volgens de onderzoekers is het verhogen van je inname van vitamine K via voedingsmiddelen één van de slimmere dingen die je als levensverlenger kunt doen.


Veranderde inname
De onderzoekers keken ook naar het effect van veranderingen van de inname van vitamine K. De tabel hieronder laat zien dat verhoging van de inname van zowel vitamine K1 als vitamine K2 de totale sterftekans bijna halveerde.


Hoe meer vitamine K [structuurformule hiernaast] je via je voeding binnenkrijgt, hoe kleiner is de kans dat je overlijdt aan een hartaanval of door kanker. Spaanse epidemiologen deden die ontdekking toen ze 7216 deelnemers 55-plussers vijf jaar volgden. Volgens de onderzoekers is het verhogen van je inname van vitamine K via voedingsmiddelen één van de slimmere dingen die je als levensverlenger kunt doen.


Conclusie
"Our results suggest that the dietary intake of both active forms of vitamin K has a potential protective role in cardiovascular mortality, cancer mortality, and all-cause mortality in a cohort of Mediterranean individuals at high cardiovascular disease risk with a relatively high consumption of this vitamin", concluderen de onderzoekers.

Bron:
J Nutr. 2014 May;144(5):743-50.

Meer:
Te lage inname vitamine K verhoogt bij 1 op de 3 mensen de kans op overlijden (13-12-2017)


Dierstudie: vitamine K-suppletie vermindert vetmassa Meer vitamine K2, meer testosteron Vitamine K2 en calcium verlagen estradiolspiegel

Dierstudie: vitamine K-suppletie vermindert vetmassa
Vitamine K is een onderschatte vitamine. Dat blijkt maar weer uit een studie die voedingsonderzoekers van Japan Women's University publiceerden in Bone.

Meer vitamine K2, meer testosteron
De lijst supplementen die misschien de aanmaak van testosteron verhogen is weer wat langer geworden.

Vitamine K2 en calcium verlagen estradiolspiegel
Geef je mannelijke ratten een dieet met slechts tien procent van de hoeveelheid calcium die je aantreft in normaal voer, dan stijgt hun estradiolspiegel. Geef je de ratten daarbij vitamine K2 door hun voer, dan zakt hun estradiolspiegel weer.