DHEA-suppletie bevordert anabolisme na intervaltraining
Intervaltraining verlaagt de spiegel van anabole hormonen in het lichaam niet, maar verhoogt in veel studies wel de aanmaak van het katabole cortisol - zij het minder dan duurtraining. Biochemici van Taipei Physical Education College ontdekten dat suppletie met 50 milligram DHEA de hormonale respons op intervaltraining nog gunstiger maakt.
DHEA als anabool
DHEA is een prohormoon. Enzymen in het lichaam zetten het om in androstenedione, estradiol - en in testosteron. Hoewel de EU de vrije handel in DHEA officieel heeft verboden, is DHEA ook in Europa overal en nergens verkrijgbaar. Buiten Europa is DHEA een legaal supplement.
Bewegingswetenschappers en endocrinologen hebben DHEA uitgebreid bestudeerd, en het gros van dat onderzoek heeft voor sporters teleurstellende resultaten. Een voorbeeld is de studie die onderzoekers van Iowa State University publiceerden in 1999. [J Appl Physiol. 1999 Dec;87(6):2274-83.] In dat onderzoek had suppletie met 150 milligram DHEA per dag geen positief effect op de hormoonhuishouding van jonge mannen die trainden met gewichten, en geen effect op de lichaamssamenstelling.
Studie
De Taiwanezen hebben de moed echter nog niet opgegeven. Zij bestudeerden de effecten van DHEA op acht jonge mannen van voor in de twintig, en acht mannen van achter in de veertig.
De mannen slikten 50 milligram, vlak voordat ze gingen slapen, en werkten de volgende dag, om acht uur 's ochtends, een intervaltraining af. Die bestond uit 5 korte sprints van 2 minuten, waarin de mannen fietsten op 100 procent van hun maximale zuurstofopname. Tussen de sprints namen de mannen 1 minuut rust.
Vlak voor en na de intervaltraining analyseerden de onderzoekers het bloed van de mannen.
De onderzoekers herhaalden hun proef nadat de mannen een placebo hadden geslikt.
Resultaten
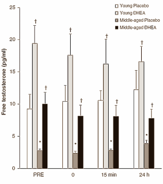
De onderzoekers zagen dat de intervaltraining geen noemenswaardig effect op de spiegel van het vrije testosteron had. Suppletie met DHEA verhoogde de spiegel in alle mannen.
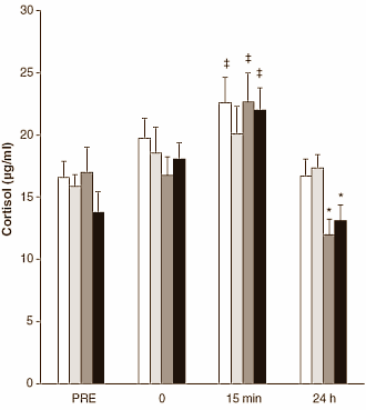
Op de cortisolspiegel heeft DHEA nauwelijks effect, vertelt de tweede figuur hierboven.
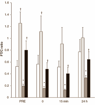
Effect op de vrij testosteron:cortisol-ratio na de training had DHEA wel. Hij stijgt, en dat is gunstig. Hoe hoger die ratio, des te makkelijker herstelt het lichaam van fysieke inspanning en bouwt het spiermassa op. Tenminste, dat zou je verwachten. Of dat bij de proefpersonen ook echt gebeurde, hebben de Taiwanezen niet onderzocht.
Bron:
Eur J Appl Physiol. 2013 Jul;113(7):1783-92.
Meer:
De antikatabole werking van 100 mg DHEA per dag (29-5-2012)
Vijftig milligram DHEA/dag anabool voor vrouwen (14-6-2009)
DHEA laat vetcel afslanken (15-2-2008)
 |
 |
 |
|
|
Biologische klok tikt trager door duurtraining en intervaltraining
Als je langer wilt leven, ga dan sporten. Ga hardlopen of wielrennen, en zorg ervoor dat je conditie verbetert - lees: zorg ervoor dat het vermogen van je lichaam om zuurstof op te nemen toeneemt.
|
Chlorella versterkt effect intervaltraining
Als sporters elke dag een paar gram Chlorella gebruiken, resulteren hun workouts misschien in een grotere toename van het uithoudings-vermogen dan als diezelfde sporters geen Chlorella zouden gebruiken. Dierstudie.
|
Intervaltraining voor kankerpatiënten
Mensen die kanker hebben overleefd, hebben een verhoogde kans op diabetes en hart- en vaatziekten. Beweging kan daarvoor een stokje steken en tegelijkertijd de kans verminderen op de terugkeer van de kanker, maar veel kankeroverlevers hebben een hekel aan beweging.
|
|