Opgeladen: 16-4-2021
Opgeborgen in: Plantenextracten, Ongewone spieropbouwende methoden, Pompoenen, courgettes en komkommers
Translation: How pumpkin may reduce muscle breakdown (17-4-2021)

Hoe pompoen misschien spierafbraak vermindert

Prik ons er niet op vast, maar pompoenen zouden wel eens nog interessanter voor sporters kunnen zijn dan we eerder verkondigden. Een in vitro-studie die Poolse biochemici publiceerden in Molecules suggereert dat stoffen in pompoen in het lichaam de afbraak van eiwitten door agressieve moleculen kunnen afremmen. Als dat nou ook nog geldt voor spiereiwit...

Studie
Agata Rolnik, een biochemicus van de universiteit van Lodz, maakte extracten van de vruchten van een aantal Cucurbitaceae-planten.

Rolniks komkommer en courgette-extracten waren gemaakt van de volledige vrucht, dus inclusief de zaden. De extracten van pompoen en patisson waren gemaakt van de vrucht zonder de zaden.


Hoe pompoen misschien spierafbraak vermindert


Vervolgens stopte Rolnik de extracten bij menselijk bloed waaraan ze een mengsel van waterstofperoxide en ijzerionen had toegevoegd. Waterstofperoxide is een vrij radicaal, ijzerionen zijn katalysatoren van vrije radicaalwerking.

Rolnik hoopte dat de extracten de schadelijke effecten van de waterstofperoxide-ijzer-combinatie konden verminderen.

Resultaten
Alle extracten remden de toename van thiobarbituric acid reactive substances [TBARS] door de combinatie van waterstofperoxide en ijzer. TBARS zijn verbindingen die ontstaan als agressieve moleculen de vetzuren in membranen van cellen en organellen aantasten.

Het lijkt er misschien op dat pompoenextracten het een tikkie beter deden dan de andere, maar volgens de statistiek presteerden alle extracten even goed.

De figuren hieronder zijn verkleind. Klik er op voor een grotere versie.


Hoe pompoen misschien spierafbraak vermindert


Hoe pompoen misschien spierafbraak vermindert


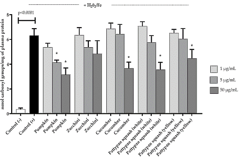
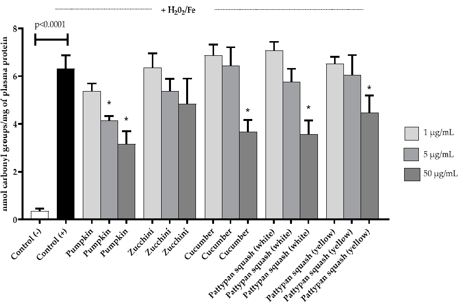
De figuur hierboven laat zien dat de meeste extracten ook de rem zetten op de toename van plasma protein carbonyls. Dat is verbrand of geoxideerd eiwit. In dit geval presteerde pompoenextract het beste. Bij een concentratie van 5 microgram per milliliter werkte pompoen beter dan de andere extracten.

Deze bevindingen zijn interessant voor sporters. Ze suggereren dat een dieet met Cucurbitaceae-groenten - en dan vooral pompoenen - spiereiwitten kunnen beschermen tegen de agressieve moleculen die actief zijn tijdens intensieve training of gedwongen rust.

Conclusie
"The results revealed that these preparations have various bioactive compounds with antioxidant activities for use in the prophylaxis and treatment of diseases involving oxidative stress", resumeren de Polen.

"Although antioxidant properties were demonstrated in an in vitro model, the real effect of these extracts should be verified in an in vivo model."

Bron:
Molecules. 2020 Sep 21;25(18):4326.

Meer:
Dieet met veel pompoen, paprika en wortels reduceert kans op darmkanker (12-5-2018)
Pompoen vergroot uithoudingsvermogen en spierkracht (6-3-2013)
Pompoenextract voert aanmaak insuline op (11-7-2007)


Verdwijnen van groenten en fruit uit voeding verlaagt testosteronspiegel Meer beta-caroteen in je bloed, minder kans op overlijden Richtlijnen groenten en fruit zijn te bescheiden

Verdwijnen van groenten en fruit uit voeding verlaagt testosteronspiegel
Door het verdwijnen van groenten en fruit uit ons dieet is de testosteronspiegel van mannen waarschijnlijk fiks gedaald. Over kalium.

Meer bèta-caroteen in je bloed, minder kans op overlijden
In wortels, pompoen, spinazie en in legio andere groenten zit bèta-caroteen. Hoe hoger de concentratie van die stof in je bloed, hoe geringer de kans dat je voortijdig zult overlijden.

Richtlijnen groenten en fruit zijn te bescheiden
Wie zich aan die richtlijnen houdt is inderdaad gezonder dan wie ze niet haalt. Maar wie nog meer groenten en fruit consumeert, is nog gezonder.