|
|
Nigella sativa werkt, concludeert metastudie
Geef zwaarlijvige vrouwen gedurende twee maanden elke dag 2 gram olie van Nigella sativa - misschien beter bekend als Black Seed Oil, en ze verliezen anderhalve kilo lichaamsvet. Dat schreven we een paar weken geleden. De aanwijzingen dat Nigella sativa een effectief afslanksupplement is, waren al vrij sterk. We vonden een metastudie uit 2018, die concludeert dat Nigella sativa werkt.
Studie
De onderzoekers traceerden 11 eerder gepubliceerde studies waarin proefpersonen Nigella sativa-supplementen hadden gekregen, veegden de uitkomsten samen en analyseerden ze opnieuw.
Resultaten
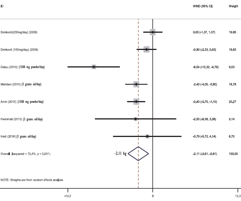
Door de bank genomen verloren de proefpersonen in de studies 2.11 kilo. De figuur hieronder is verkleind. Klik er op voor een grotere versie.
De onderzoekers ontdekten een tendens dat het gewichtsverlies groter was naarmate de suppletieperiode langer duurde. Duurde die periode minder dan 9 weken, dan verloren de proefpersonen zo'n 1.38 kilo. Duurde de periode langer dan 9 weken, dan liep het gewichtsverlies op tot 5.69 kilo.
Er was daarnaast een tendens dat Nigella sativa-suppletie meer gewicht in de schaal legde in combinatie met andere interventies, zoals dieet en lichaamsbeweging.
Het afslankeffect van suppletie was tenslotte groter in studies met ongezonde obese proefpersonen, of proefpersonen met type-2 diabetes. Als je weet hoe Nigella sativa waarschijnlijk werkt, zal dat je niet verrassen.
Conclusie
"The present meta-analysis on controlled clinical trials showed that supplementation with Nigella sativa exerted moderate effects as a complementary therapy for the reduction of body weight, BMI and waist circumference", resumeren de onderzoekers.
"No serious side effects were reported following Nigella sativa supplementation."
"However, due to the high heterogeneity for body weight and limited high quality studies, the findings should be interpreted with caution."
Bron:
Complement Ther Med. 2018 Jun;38:48-57.
Meer:
Vet verliezen en spieren vasthouden door Black Seed Oil (30-12-2020)
Nigella sativa, een plantaardige insulinevervanger (2-8-2016)
Nigella sativa: misschien geen testosteronbooster, wel een effectief afslanksupplement (23-8-2015)
 |
 |
 |
|
Schisandrin-B, de vernietiger van vetcellen in Schisandra chinensis
Nee, uit de publicatie van Hiu Yee Kwan die in 2017 verscheen in Scientific Reports kun je niet afleiden dat suppletie met Schisandra chinensis fitness- en physique-atleten verlost van hun onderhuidse vet. Maar...
|
Afslanken gaat drie keer sneller met zinksupplement
Afslanken levert doorgaans de beste resultaten op als je a. er de tijd voor neemt en b. je calorie-inname terugschroeft naar een niveau dat een paar honderd kilocalorieën onder je behoefte ligt. Wat ook helpt is...
|
Alpinia officinarum als afslanksupplement?
Een paar dagen geleden schreven we over een Chinese dierstudie waarin suppletie met Alpinia officinarum de groei van vetcellen praktisch stopzette, terwijl de onderzoekers hun proefdieren toch volpropten met calorieën.
|
|
|