Opgeladen: 29-9-2020
Opgeborgen in: Krachttraining & voeding, MSM
Translation: MSM speeds up post-weight training recovery (28-2-2013)

MSM versnelt herstel na krachttraining

MSM
MSM, of voluit methylsulfonylmethane, is misschien een interessant supplement voor krachtsporters. Dat concludeert sportwetenschapper Douglas Kalman van de University of Memphis voorzichtig uit een kleine humane studie. Volgens dat onderzoek, dat is verschenen in de Journal of the International Society of Sports Nutrition, versnelt een dagelijkse dosis van drie gram MSM het herstel na krachttraining.

MSM
Via voedingsmiddelen als melk, fruit, koffie en thee krijgen we elke dag een beetje MSM binnen. Volgens studies remt die verbinding ontstekingen. MSM zou de aanmaak van het ontgiftende glutahion verhogen, en ook de nuclear factor kappa-beta ontregelen. Dat is een transcriptiefactor die is betrokken bij reacties van cellen op zo'n beetje alle soorten stress - van UV-stralen tot LDL-cholesterol, en van kanker tot bloedvergiftiging.

Intensieve krachttraining levert spiercellen stress, en resulteert in ontstekingen. Hoe sneller die weggaan, des te sneller herstellen spieren. En je voelt al aan je water waar dat heen gaat: de onderzoekers vroegen zich af of ze via suppletie met MSM spierherstel konden versnellen.

Sponsor
De sponsor van het onderzoek was TandemRain Innovations, het bedrijf van George Bergstrom. Bergstrom is tevens de drijvende kracht achter Bergstrom Nutrition, [bergstromnutrition.com] de producent van het MSM-preparaat OptiMSM.

Studie
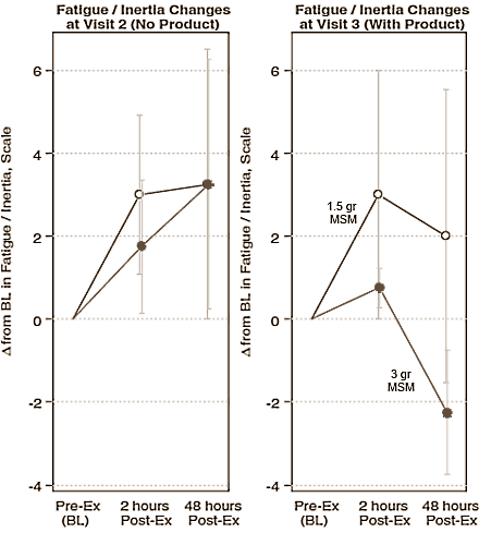
De onderzoekers verdeelden hun proefpersonen in 2 groepen. De ene kreeg gedurende 28 dagen dagelijks anderhalve gram MSM, de andere drie gram MSM. Voor en na de suppletieperiode trainden de mannen hun quadriceps met 18 sets op de leg-extension-machine.

Resultaten
Voor en 2 en 48 uur na de trainingssessies bepaalden de onderzoekers hoeveel spierpijn de proefpersonen hadden en hoe moe ze waren. Hadden die proefpersonen de hogere dosis MSM geslikt, dan hadden ze minder last van spierpijn en vermoeidheid. Dat suggereert dat suppletie met drie gram MSM per dag het spierherstel versnelt.


MSM versnelt herstel na krachttraining


MSM versnelt herstel na krachttraining


MSM-suppletie verhoogde de hoeveelheid glutathion in het bloed niet. Wel verhoogde MSM twee uur na de workout de activiteit van antioxidanten in het bloed.


MSM versnelt herstel na krachttraining


MSM voor duursporters
Het is niet de eerste keer dat onderzoekers stuiten op de beschermende effecten van MSM bij lichamelijke inspanning. Onderzoekers van Islamic Azad University in Iran meldden een paar jaar geleden dat een suppletieperiode van tien dagen met 50 milligram MSM per kilogram lichaamsgewicht in ongetrainde mannen de spierschade na duurinspanning vermindert. [J Pharm Pharmacol. 2011 Oct;63(10):1290-4.] [J Sports Med Phys Fitness. 2012 Apr;52(2):170-4.]

Ook in de Iraanse studies verhoogde MSM de antioxidante activiteit na de sessie.

Verder onderzoek
De Amerikanen pleiten voor verder onderzoek. "While this study was small in scope, it is suggested that more research be done to extend these findings", schrijven ze.

"Future studies should include a larger sample size, a placebo group for comparison and the inclusion of additional markers of recovery and exercise performance (e.g., force and power)."

Bron:
J Int Soc Sports Nutr. 2012 Sep 27;9(1):46.

Meer:
MSM, een spierversterker die kankercellen saboteert (13-6-2020)
MSM, groeihormoon en IGF-1 | Sterke botten, sterke spieren? (10-6-2020)
MSM voor sporters | MSM is een cortisolblokker (8-6-2020)


MSM beschermt spiereiwitten tijdens inspanning Een capsule MSM per dag vermindert rimpels in een paar maanden MSM reduceert pijn in spieren en gewrichten na halve marathon

MSM beschermt spiereiwitten tijdens inspanning
Je neemt je lichaamsgewicht in kilo's, en deelt dat door 10. De uitkomst is het aantal gram MSM dat je nodig hebt om je spieren te beschermen tegen afbraak tijdens intensieve lichamelijke inspanning.

Een capsule MSM per dag vermindert rimpels in een paar maanden
MSM, een spotgoedkope organische zwavelverbinding die je bij bijna elke drogist kunt kopen, is een skinceutical.

MSM reduceert pijn in spieren en gewrichten na halve marathon
Sporters die dagelijks 3 gram MSM gebruiken hebben de dagen na een halve marathon minder last van hun spieren en gewrichten.