Opgepoetst: 27-6-2022
Opgeladen: 1-4-2015
Opgeborgen in: Krachttraining
Translation: Isolation exercises for strength training require longer recovery time (17-5-2015)

Krachttraining met isolatie-oefeningen vergt meer hersteltijd

Hoe meer isolatie-oefeningen krachtsporters gebruiken, hoe langer is de hersteltijd die hun spieren nodig hebben. Dat schrijven bewegingswetenschappers van de University of Brasilia in de Journal of Strength and Conditioning Research. Bodybuilders en fitnessfanaten die bij voorkeur drie keer per week een full body workout afwerken, kunnen daarin beter zo min mogelijk isolatie-oefeningen opnemen, en zoveel mogelijk samengestelde oefeningen.


Krachttraining met isolatie-oefeningen vergt meer hersteltijd



Studie
De onderzoekers experimenteerden met 16 highly resistance trained men. Ze lieten de mannen met hun ene arm 8 sets curlen met een belasting waarmee nog net 10 reps mogelijk waren.

De curl is een isolatie-oefening of, zoals wetenschappers liever zeggen, een single joint exercise waarbij alleen het ellebooggewricht beweegt. De oefening prikkelt uitsluitend de biceps.

De mannen trainden hun andere arm met de seated-row. Ook van die oefening maakten de mannen 8 sets, en ook bij die oefening gebruikten de mannen een belasting waarmee nog net 10 reps mogelijk waren.

De seated-row is een samengestelde oefening of een multi joint exercise waarbij niet alleen het ellebooggewricht beweegt, maar ook het schoudergewricht en de schouderbladen. De oefening prikkelt niet alleen de biceps, maar ook spieren in het schoudergewricht en - vooral - spieren in de bovenrug.

Resultaten

In de 4 dagen na de workout hadden de mannen in de arm meer spierpijn in de arm waarmee ze hadden gecurld dan in de arm waarmee ze hadden geroeid.


Krachttraining met isolatie-oefeningen vergt meer hersteltijd



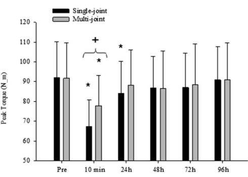
In de 4 dagen na de workout bepaalden de onderzoekers de torque - zeg maar: de kracht - in de biceps van de proefpersonen. De figuur hieronder vertelt dat de kracht in de arm waarmee de proefpersonen hadden gecurld langzamer herstelde dan de kracht in de arm waarmee de proefpersonen hadden geroeid.


Krachttraining met isolatie-oefeningen vergt meer hersteltijd



Conclusie
"The results of the present study suggest that strength and athletic trainers should take into consideration the effect of multi- and single-joint exercises on recovery during strength training periodization", vatten de onderzoekers samen.

"Depending on the type of exercise used (i.e, single- and multiple joints), resistance trained subjects or athletes might not be able to perform strength or power activities at their best until 24 or 48 hours after the previous exercise bouts."

Bron:
J Strength Cond Res. 2015 Sep;29(9):2594-9.

Meer:
Bodybuilder kan isolatie-oefeningen weglaten (15-12-2018)
Aparte oefeningen voor biceps en triceps? Eigenlijk niet nodig... (8-12-2015)
Biceps groeit net zo goed van pull-downs als van curls (25-11-2015)


Metastudie | Krachttraining met gewichten gelijkwaardig aan krachttraining met elastische banden Welke oefening is beter? De pull-up of de pull-down? Concentreren op een spiergroep tijdens krachttraining | Dit is het effect

Metastudie | Krachttraining met gewichten gelijkwaardig aan krachttraining met elastische banden
Krachttraining met gewichten en machines kan resulteren in eenzelfde krachttoename als krachttraining met elastische banden.

Welke oefening is beter? De pull-up of de pull-down?
Een EMG-studie.

Concentreren op een spiergroep tijdens krachttraining | Dit is het effect
Als je een spiergroep door krachttraining echt goed wilt ontwikkelen, focus je aandacht dan op die spiergroep, adviseren sommige trainers en krachtsporters.