Opgeladen: 18-12-2018
Opgeborgen in: Koolhydraatarm dieet, Krachttraining & voeding
Translation: Low-carbohydrate diet and powerlifters: weight loss without losing strength (19-12-2018)

Koolhydraatarm dieet bij powerlifters: gewichtsverlies zonder krachtverlies

Als powerlifters en Olympische gewichtheffers overstappen op een koolhydraatarm dieet, verliezen ze een paar kilo lichaamsgewicht zonder dat hun spierkracht daaronder lijdt. Beknibbelen op de calorietjes is niet nodig. Dat rapporteren bewegingswetenschappers van de Australian Catholic University in de Journal of Strength and Conditioning Research.

Studie
De onderzoekers lieten 14 powerlifters en gewichtheffers 3 maanden zonder restricties - ad libitum, heet dat - eten zoals ze dat gewoon waren.

Dagelijks consumeerden de sporters meer dan 250 gram koolhydraten.



Bij een andere gelegenheid aten de proefpersonen gedurende 3 maanden zonder restricties koolhydraatarm. In dit geval betekent dat minder dan 50 gram koolhydraten per dag.

Resultaten
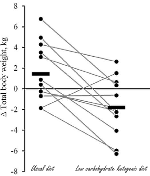
De powerlifters en gewichtheffers verloren ten opzichte van het usual diet door het koolhydraatarme dieet een significante 3.26 kilo.


Koolhydraatarm dieet bij powerlifters: gewichtsverlies zonder krachtverlies


Bij die verloren kilo's zat ook 2.26 kilo vetvrije massa. En die afname was ook statistisch significant.


Koolhydraatarm dieet bij powerlifters: gewichtsverlies zonder krachtverlies


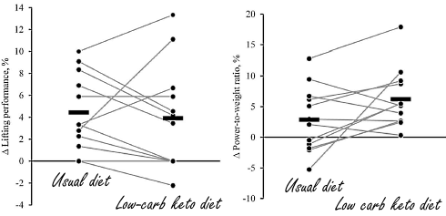
Kracht verloren de proefpersonen niet. Gecorrigeerd voor hun lichaamsgewicht leken de proefpersonen zelfs een tikkie sterker te worden. Dat effect was trouwens niet significant, dus houden de onderzoekers het er maar op dat het koolhydraatarme dieet geen invloed had op de sportieve prestaties.


Koolhydraatarm dieet bij powerlifters: gewichtsverlies zonder krachtverlies

Koolhydraatarm dieet bij powerlifters: gewichtsverlies zonder krachtverlies


Conclusie
"Weight class sports often require athletes to transiently reduce body weight to make weight for competition", resumeren de Australiërs. "Energy restriction and rapid weight loss strategies used by athletes are not universally effective for reducing weight and can be associated with a number of negative side effects."

"In this study, a 12-week ad libitum low-carbohydrate ketogenic diet reduces resulted in practically meaningful reductions in body weight without compromising training or performance and therefore seems safe and suitable to resistance trained athletes who desire lower body mass. We have thus demonstrated an alternate weightmaking strategy for weight class athletes involved in powerlifting and Olympic weightlifting."

"A low-carbohydrate ketogenic diet might also be applicable to other popular weight class sports including combat sports, but this needs to be explored in future studies."

"Coaches and athletes should consider using a low-carbohydrate ketogenic diet to achieve targeted weight reduction goals in favor of either energy restriction or rapid weight loss strategies."

Bron:
J Strength Cond Res. 2018 Dec;32(12):3373-82.

Meer:
Na gewenningsfase functioneert sporter prima op een koolhydraatarm dieet (21-2-2018)
Koolhydraatarm dieet maakt sporters kilo's lichter zonder prestatieverlies (15-2-2018)
Een koolhydraatarm dieet of een traditioneel afslankdieet combineren met krachttraining? Kan allebei, concludeert studie (19-9-2016)


Crashdieet werkt beter zonder koolhydraten

Beter presteren met koolhydraatarm dieet dankzij L-carnitine

Duuratleet bereidt zich beter voor op wedstrijd met koolhydraatarm dieet

Crashdieet werkt beter zonder koolhydraten
Italiaanse onderzoekers schrijven in de European Review for Medical and Pharmacological Sciences dat ze een manier hebben ontdekt om dat spierverlies tijdens een crashdieet te beperken: gooi de koolhydraten eruit, en vervang ze door eiwitten.

Beter presteren met koolhydraatarm dieet dankzij L-carnitine
Dat suggereert een dierstudie die biochemici van het Defence Food Research Laboratory in India hebben gepubliceerd in de Journal of Physiology and Biochemistry. Het humane equivalent van de beproefde dosis is 2 tot 4 gram L-carnitine per dag.

Duuratleet bereidt zich beter voor op wedstrijd met koolhydraatarm dieet
Duursporters die zich voorbereiden op een wedstrijd boeken misschien betere resultaten als ze de koolhydraten uit hun dieet knikkeren, en die vervangen door onverzadigde vetzuren.