Opgeladen: 14-5-2018
Opgeborgen in: Eiwitten, Hart & bloedvaten, Afslanken, Insuline, glucose & insulineversterkers
Translation: In combination with protein supplementation, this comprehensive training approach has more effect on body composition than just strength training (15-5-2018)

In combinatie met eiwitsuppletie maakt een gevarieerde training slanker en gespierder dan louter krachttraining

Eiwitsuppletie maakt dikke en sedentaire mensen slanker en gezonder, en dat effect wordt sterker in combinatie met training. Een gevarieerd trainingsprogramma, met krachttraining, duurtraining, intervaltraining en yoga, werkt beter dan een programma met alleen krachttraining en intervaltraining.

Studie
Bewegingswetenschappers van Skidmore College gaven een kleine 80 gezonde veertigers en vijftigers, die wel een paar kilootjes konden verliezen, gedurende 16 weken elke dag 3 shakes met elk 20 gram whey. De onderzoekers gebruikten Classic Whey van Optimum Nutrition.

Divers samengesteld trainingsprogramma heeft meer effect op gezondheid dan louter krachttraining
De onderzoekers verdeelden de proefpersonen in 3 groepen. De eerste groep dronk alleen whey, en veranderde zijn manier van leven verder niet. [P]

Een derde groep ging 4 keer per week trainen met gewichten en trainde 2 keer per week met basale oefeningen de belangrijkste spiergroepen van het lichaam. De proefpersonen deden 2 sets per oefening. Daarnaast deze ze 2 keer per week een intervaltraining, waarbij ze 3 keer 30 seconden voluit sprintten. Tussen de sprints konden ze 4 minuten rusten. [P+RT]

De derde groep trainde op een meer diverse manier. [PRISE] Deze groep deed 1 keer per week aan krachttraining met "medicine balls, physioballs, rubber tubes,and bands, which were incorporated into a dynamic warm-up, footwork and agility drills, resistance and power movements, and core and body weight exercises (e.g., lunges, squats, and jumping rope)."

Daarnaast deed deze groep 1 keer per week een uur aan duurtraining, en 1 keer per week aan flexibiliteitstraining in de vorm van stretching, yoga of Pilates. Deeze groep werkte wekelijks 1 intervaltraining af.

Meer details over de trainingsprogramma's staan in de figuur hieronder. Klik er op voor een leesbare versie.


Divers samengesteld trainingsprogramma heeft meer effect op gezondheid dan louter krachttraining


Resultaten
In alle groepen zakte de HOMA-IR. Dat betekent dat de gevoeligheid voor insuline toenam. In de groep die suppletie met whey combineerde met het gevarieerde trainingsprogramma [PRISE] verminderden bovendien de concentratie triglyceriden en LDL. Dat betekent dat de kans op hart- en vaatziekten afnam.


Divers samengesteld trainingsprogramma heeft meer effect op gezondheid dan louter krachttraining


De lean body mass [zeg maar: de spiermassa] nam in toe in de twee groepen die eiwitsuppletie combineerden met training. Vooral het gevarieerde trainingsprogramma bleek effectief.


Divers samengesteld trainingsprogramma heeft meer effect op gezondheid dan louter krachttraining

Divers samengesteld trainingsprogramma heeft meer effect op gezondheid dan louter krachttraining


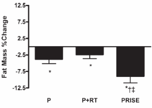
De vetmassa verminderde in alle groepen, maar de afname was het sterkste in de groep die wheysuppletie combineerde met het gevarieerde trainingsprogramma.

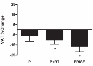
De hoeveelheid buikvet [VAT] nam alleen af in de groepen die eiwitsuppletie combineerden met beweging. En het verhaal wordt eentonig, maar ook die afname was het grootste in de groep die wheysuppletie combineerde met het gevarieerde trainingsprogramma.


Divers samengesteld trainingsprogramma heeft meer effect op gezondheid dan louter krachttraining


Conclusie
"In conclusion, protein, with and without exercise, is associated with an enhanced total and regional body composition and cardiometabolic health", schrijven de onderzoekers. "However, the combined effects of whey protein and 4 days/wk of exercise training result in additional improvements."

"We found that whey protein combined with a comprehensive exercise training program is associated with the greatest improvements in total and regional body composition, as well as cardiometabolic disease risk variables, and should be considered as an effective lifestyle intervention for overweight and obese adults."

Bron:
J Appl Physiol (1985). 2014 Jul 1;117(1):1-10.

Meer:
Ook topsporter van zeventig presteert beter met eiwitrijke voeding (4-12-2017)
Zo versterken lichaamsbeweging en eiwitten elkaars effect op vetpercentage en spieren (4-9-2017)
Gezondheidsrisico's van een eiwitrijk dieet stellen weinig voor (16-8-2016)


Evenredige verdeling van eiwitten over de maaltijden vergroot hun spieropbouwende werking
Volgens deze studie kan een dieet met voldoende eiwitten toch leiden tot spierafbraak - als de eiwitten onevenredig over de maaltijden verdeeld zijn...

Een jaar afslanken met een eiwitrijk dieet goed voor hart en bloedvaten
Een eiwitrijk afslankdieet, waarbij dertig procent van de energie uit eiwitten komt, werkt beter dan een traditioneel afslankdieet, waarbij eiwitten twintig procent van de energie leveren. Maar is zo'n eiwitrijk dieet wel gezond?

Aanvullen van vocht en toediening van whey-eiwitten kan prima tegelijkertijd
Sporters die ook bij hoge temperaturen hard trainen kunnen na afloop van hun workout met dezelfde shake hun vochtspiegel normaliseren en hun spieren voorzien van aminozuren voor herstel.