Opgepoetst: 14-8-2021
Opgeladen: 28-3-2014
Opgeborgen in: Afslanken, Afslanksupplementen, Eiwitten, Taurine, Glycine
Translation: Best high-protein slimming diet contains lots of taurine and glycine (13-4-2014)

Het beste eiwitrijke afslankdieet bevat veel taurine en glycine

Als je graag wat pondjes vet wilt verliezen, dan is een eiwitrijk dieet vaak de beste optie. Maar met welk type eiwitten kun je nu het beste afvallen? Volgens Scandinavische onderzoekers zitten de allerbeste afslankeiwitten in schelpen. Die eiwitten bevatten verhoudingsgewijs veel taurine en glycine.


Als je graag wat pondjes vet wilt verliezen, dan is een eiwitrijk dieet vaak de beste optie. Maar met welk type eiwitten kun je nu het beste afvallen? Volgens Scandinavische onderzoekers zitten de allerbeste afslankeiwitten in schelpen. Die eiwitten bevatten verhoudingsgewijs veel taurine en glycine.


Studie
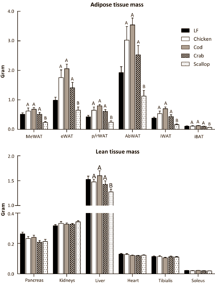
De onderzoekers experimenteerden met 5 groepen muizen. Vier groepen proefdieren kregen gedurende 6 weken een dieet waarvan je kunt verwachten dat muizen daar dikker van worden: het bevatte veel suiker en vet. Een controlegroep kreeg een suikerrijk low fat-dieet.

Het eiwit in het low fat-dieet was caseïne, dat in de vier experimentele groepen was mager kippenvlees [Chicken], kabeljauwfilet [Cod], krab [Crab] of schelpdier [Scallop]. Het schelpdier dat de onderzoekers gebruikten was trouwens Canadian scallop of Placopecten magellanicus.

De onderzoekers vroegen zich af wat het effect van die verschillende eiwitten op het ontstaan van vetzucht zou zijn. Er zijn aanwijzingen dat het ene eiwit beter in staat is de groei van vetlagen te verminderen dan het andere. Je kunt volgens een studie uit 2009 bijvoorbeeld makkelijker afvallen als je eiwitten vooral uit magere vis komen dan als mager vlees je belangrijkste eiwitbron is.


Als je graag wat pondjes vet wilt verliezen, dan is een eiwitrijk dieet vaak de beste optie. Maar met welk type eiwitten kun je nu het beste afvallen? Volgens Scandinavische onderzoekers zitten de allerbeste afslankeiwitten in schelpen. Die eiwitten bevatten verhoudingsgewijs veel taurine en glycine.


De eiwitten in vis bevatten veel taurine. Alle dierlijke eiwitten die uit zee komen bevatten veel taurine, en bovendien ook veel glycine.

Eiwitten uit krab en kreeft bevatten nog meer taurine en glycine dan die uit vis, maar de allerbeste bron van taurine en glycine is het spiervlees van schelpdieren.

Taurine en glycine zijn voor volwassen mensen niet essentieel. Het lichaam kan ze aanmaken uit aminozuren die we via de voeding binnenkrijgen.

Je ziet hieronder hoeveel gram taurine en glycine er per kilo in de vijf types voer zat dat de Scandinaviërs aan hun muizen gaven.


Als je graag wat pondjes vet wilt verliezen, dan is een eiwitrijk dieet vaak de beste optie. Maar met welk type eiwitten kun je nu het beste afvallen? Volgens Scandinavische onderzoekers zitten de allerbeste afslankeiwitten in schelpen. Die eiwitten bevatten verhoudingsgewijs veel taurine en glycine.


Resultaten
Om een lang verhaal kort te maken: hoe meer glycine en taurine de muizen binnenkregen, des te minder lichaamsvet bouwden ze op. De muizen die hun eiwitten uit schelpdieren haalden werden ondanks hun vet- en suikerrijke voeding zelfs slanker - zonder verlies van vetvrije massa.


Als je graag wat pondjes vet wilt verliezen, dan is een eiwitrijk dieet vaak de beste optie. Maar met welk type eiwitten kun je nu het beste afvallen? Volgens Scandinavische onderzoekers zitten de allerbeste afslankeiwitten in schelpen. Die eiwitten bevatten verhoudingsgewijs veel taurine en glycine.


Conclusie
Glycine en taurine maken dus slank. Hoe precies? Dat weten de onderzoekers niet. Een dieet met scheldieren remde de eetlust een beetje, maar dat bescheiden effect kon de onderzoeksuitkomsten niet verklaren. De onderzoekers vermoeden dat een dieet met veel glycine en taurine de opname van energie uit voeding vermindert. Of het calorieverbruik verhoogt.

Sponsoren
De onderzoekers kregen hun geld onder meer van de Noorse overheid, de schelpdierensector en Novo Nordisk.

Bron:
Amino Acids. 2014 Jul;46(7):1659-71.

Meer:
Eiwitrijk afslankdieet werkt nog beter met zes maaltijden per dag (26-6-2013)
Of je nou wilt afslanken of spieren opbouwen, een eiwitrijk dieet werkt (22-3-2013)
Twee jaar eiwitrijk afslankdieet niet schadelijk voor nieren (22-6-2012)


Whey is een hongerremmer Metastudie: whey vermindert lichaamsvet bodybuilders, heeft geen effect op spiermassa Hoe whey-hydrolisaat vetverlies veroorzaakt

Whey is een hongerremmer
Als je tijdens afslankpogingen kierewiet wordt van de constante trek in eten, probeer dan shakes met wheyeiwit in te passen in je dieet.

Metastudie: whey vermindert lichaamsvet bodybuilders, heeft geen effect op spiermassa
Suppletie met whey verbetert de lichaamssamenstelling van mensen die trainen met gewichten.

Hoe whey-hydrolisaat vetverlies veroorzaakt
Volgens dit onderzoek stimuleert whey-hydrolisaat de afgifte van adrenaline.