S42, de Japanse afslank-SARM
In Japan experimenteren onderzoekers met een hele rare SARM. S42 heet hij. Zijn structuurformule lijkt zoveel op die van estradiol dat we ons afvragen of S42 ooit als grijs supplement of research chemical op de markt zal komen. Maar goed, in reageerbuizen en proefdieren doet S42 uiterst interessante dingen.
S42
De Japanners kwamen S42 op het spoor tijdens een zoektocht naar steroidmoleculen met een mogelijke afslankende werking. In die zoektocht screenden de onderzoekers 119 interessante verbindingen en ontdekten toen dat S42 UCP1 in cellen verhoogde. Dat suggereert dat S42 cellen meer energie laat verbruiken.
2019: in vitro-studie
In een studie die de onderzoekers, die trouwens verbonden zijn aan Fukuoka University, publiceerden in Biochemistry and Biophysics Reports, stelden de onderzoekers spiercellen bloot aan S42. [Biochem Biophys Rep. 2019 Jan 15;17:177-81.]
In die proeven liet S42 cellen niet meer androgeenreceptoren liet aanmaken, maar schakelde de stof wel katabole signaalmoleculen uit, en anabole signaalmoleculen aan. Dat suggereert dat S42 geen of weinig androgene bijwerkingen heeft, maar wel antikatabole en anabole effecten kan hebben.
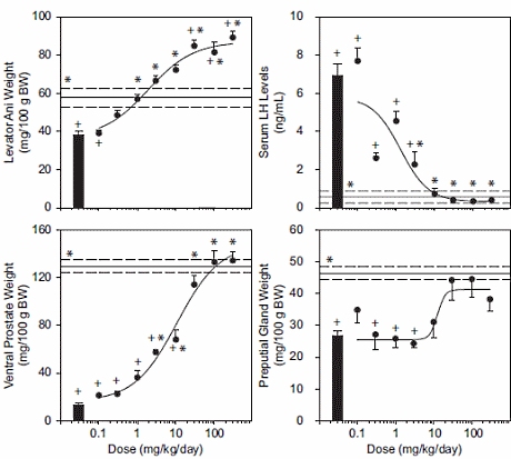
2009: in vitro- en dierstudie
Op zich zeggen die resultaten niet zoveel. Ze worden pas interessant als je er een gecombineerde in vitro- en dierstudie bijpakt, die de onderzoekers publiceerden in 2009. [Endocrinology. 2009 Dec;150(12):5606-16.]
In vitro verhoogde S42 de aanmaak van UCP1. Zoals gezegd, dat suggereerst dat S42 cellen meer energie laat verbruiken. Tegelijkertijd verlaagde S42 de aanmaak van PSA in prostaatkankercellen. Dat zou betekenen dat S42 kan beschermen tegen prostaatkanker.
Nou zou je op basis van zijn structuurformule misschien denken dat S42 een oestrogeen is. De stof hecht echter wel degelijk aan de androgeenreceptor. En toen de Japanners S42 3 weken aan gecastreerde ratten gaven, maakte de stof de spier levator ani groter. S42 heeft dus een anabole werking.
Het humane equivalent van de hoogste dosering was ongeveer 70-100 milligram per dag.
Zoals je hieronder ziet, had S42 geen effect op de grootte van de prostaat.
Opvallend was dat S42 de LH-spiegel verhoogde, en daarnaast ook nog de concentratie triglyceriden in het bloed verlaagde. S42 had geen negatieve effecten op de cholesterol- en insulinespiegel.
Slot
De Japanners zijn klaar om het effect van S42 in humaan onderzoek te gaan bestuderen, schrijven ze in hun artikel uit 2019.
Bron:
Biochem Biophys Rep. 2019 Jan 15;17:177-81.
Meer:
Anabole werking van GSK20881078: humaan onderzoek (30-10-2018)
GSK2881078, een nieuwe SARM aan het firmament (29-1-2018)
Hoe veilig is SARM S23? (24-10-2015)
|