Opgeladen: 11-5-2017
Opgeborgen in: Langer leven & leefstijl
Translation: Meta-analysis: you can reduce your mortality risk by a factor of 5 through your diet (7-7-2017)

Meta-analyse: je kunt je sterftekans reduceren met een factor 5 via je voeding

Als je gezonde categorieën voedingsmiddelen, zoals bonen, groenten, fruit en noten, in optimale hoeveelheden eet, en ongezonde categorieën als rood en bewerkt vlees en frisdranken met snel opneembare suikers uit je dieet knikkert, dan vermindert je sterftekans daardoor met misschien wel 80 procent. Dat schrijven onderzoekers van het German Institute of Human Nutrition binnenkort in de American Journal of Clinical Nutrition.

Studie
De onderzoekers identificeerden 12 groepen voedingsmiddelen waarvan duidelijk is dat ze de kans op sterfte kunnen vergroten of verkleinen, "whole grains, refined grains, vegetables, fruits, nuts, legumes, eggs, dairy, fish, red meat, processed meat, and sugar-sweetened beverages".

Vervolgens traceerden de Duitsers in de wetenschappelijke literatuur epidemiologische studies naar de effecten van die groepen voedingsmiddelen, veegden de uitkomsten bij elkaar en analyseerden ze opnieuw.

Over geraffineerde graanproducten lees je hieronder niets meer. De onderzoekers konden geen positieve of negatieve effecten ontdekken.

Resultaten
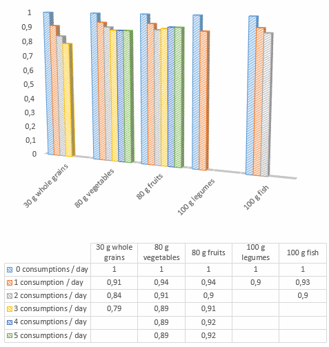
Dagelijkse consumptie van volle graanproducten, groenten, fruit, vis, bonen en noten verlaagden de sterftekans. Noten staan niet de figuur hieronder, maar de consumptie van 28 gram noten per dag verminderde de kans op sterfte met 15 procent [RR = 0.85].


Meta-analyse: hoe je via je voeding je sterftekans kunt reduceren met een factor 5



Minder duidelijk was het effect van zuivel. Een consumptie per dag verminderde de sterftekans een beetje, 2-3 consumpties per dag hadden geen effect, een hogere inname vergrootte de sterftekans.


Meta-analyse: hoe je via je voeding je sterftekans kunt reduceren met een factor 5



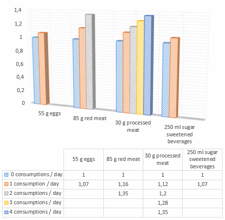
Rood vlees, intensief bewerkte vleesproducten, eieren en frisdrank met al of niet toegevoegde suikers lieten de sterftekans toenemen.


Meta-analyse: hoe je via je voeding je sterftekans kunt reduceren met een factor 5



Op basis van deze gegevens berekenden de onderzoekers het totale potentiële effect van een optimaal samengesteld dieet - met optimale hoeveelheden van de gezonde producten, en zo min mogelijk ongezonde producten. Dat totale effect was, zoals je hieronder ziet, aanzienlijk.


Meta-analyse: hoe je via je voeding je sterftekans kunt reduceren met een factor 5



Conclusie
"An optimal intake of whole grains, vegetables, fruits, nuts, legumes, and fish, as well as reduced consumption of red and processed meats and sugar-sweetened beverages, can lead to an important decrease - by 80 percent - in the relative risk of premature death when compared with intakes always from the highest risk category", vatten de onderzoekers samen.

"To obtain a complete picture, it seems useful to extend the type of food groups and the clinical end points to be considered. We will in the future develop methods that are able to rank foods and diseases according to their contribution to the prevention of chronic diseases."

Bron:
Am J Clin Nutr. 2017 Apr 26. pii: ajcn153148. [Epub ahead of print].

Meer:
Kaliumrijk dieet beschermt tegen beroerte, vermindert sterftekans (4-5 -2017)
Het gen waarmee je gezond de 100 haalt reageert op voeding 5-2-2017
Dit dieet vermindert de kans op dodelijke hartaanvallen, beroertes en kanker (5-10-2016)


Dieet met veel bonen, gefermenteerde zuivel, fruit, koffie, noten en zeewier vertraagt veroudering

Dieet met veel visolie, curcumin, magnesium en andere natuurlijke ontstekingsremmers vertraagt veroudering

Gekookte en gebakken groenten zijn gezonder dan rauwe groenten

Dieet met veel bonen, gefermenteerde zuivel, fruit, koffie, noten en zeewier vertraagt veroudering
Zuid-Koreaanse telomerenstudie, gepubliceerd in de European Journal of Clinical Nutrition.

Dieet met veel visolie, curcumin, magnesium en andere natuurlijke ontstekingsremmers vertraagt veroudering
Volgens deze studie vertraagt een voedingspatroon met een geringe dietary inflammatory index het korter worden van de telomeerlengte.

Gekookte en gebakken groenten zijn gezonder dan rauwe groenten
Eén van de grootste studies naar het gezondheidseffect van groenten die tot nu toe is verschenen.