Opgeladen: 2-2-2017
Opgeborgen in: Aminozuren, BCAA's, Leucine, Krachttraining & voeding, Ursolic Acid
Translation: Taking leucine after strength training boosts IGF-1 concentration in muscle cells (1-4-2017)

Leucine na krachttraining verhoogt concentratie IGF-1 in spiercel

Een paar capsules met leucine of ursolic acid na de workout, en verder niks? Daar hebben bodybuilders en andere krachtsporters waarschijnlijk niet zo veel aan, schrijven Amerikaanse bewegingswetenschappers in de Journal of the American College of Nutrition. Die suppletiestrategieën resulteren volgens hun humane studie niet in meer spiergroei. Al zorgt toediening van leucine wel voor een dramatische toename van intramusculair IGF-1 in de spiercel.

Studie
De onderzoekers lieten 9 mannen, die al langere tijd met gewichten trainden, bij 3 verschillende gelegenheden hun benen trainen. Meteen na de workout slikten de mannen een placebo, of een supplement met 3 gram leucine, of een supplement met 3 gram ursolic acid.

Voordat de mannen trainden, hadden ze nog niet gegeten. Een uur na de workout kregen de mannen een Atkinreep, met 13 gram vet, 8 gram eiwit en 3 gram koolhydraten. Da's alles wat de proefpersonen aten.

Gedurende de eerste 6 uur na de workout namen de onderzoekers meerdere keren bloed en spiermonsters af.

Resultaten
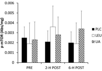
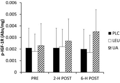
De suppletie had geen effect op de concentratie insuline en IGF-1 in het bloed. In de spiercellen van mannen zagen de onderzoekers een beetje meer activiteit van het anabole schakelmolecuul mTOR bij de placebogroepen, maar die verschillen waren niet statistisch significant.


Leucine na krachttraining verhoogt concentratie IGF-1 in spiercel


Leucine na krachttraining verhoogt concentratie IGF-1 in spiercel


Ursolic Acid verhoogde 6 uur na inname de activiteit van de IGF-1-receptor van de spiercellen, maar ook dat effect was niet significant. We vragen ons echter af ook zo was geweest als de onderzoekers meer proefpersonen hadden kunnen gebruiken.

Wel significant was het effect van suppletie met leucine op de concentratie IGF-1 in de spiercellen.


Leucine na krachttraining verhoogt concentratie IGF-1 in spiercel


Conclusie
Volledig verrassend zijn de bevindingen niet. Van suppletie met leucine wisten we al dat die alleen effectief is in combinatie met andere aminozuren.

Suggestieve slotvragen zonder onderbouwing van enige substantie
Zes uur na inname van ursolic acid wordt de IGF-1-receptor in de spiercellen actiever. Twee uur na inname van leucine stijgt de concentratie IGF-1 in de spiercel. Wat zou er gebeuren als krachtsporters 3 uur voor hun workout ursolic acid slikken, en na afloop van die training leucine? En dan in combinatie met andere aminozuren?

Bron:
J Am Coll Nutr. 2016 Sep-Oct;35(7):627-38.

Meer:
Als afslankmiddel werkt cafeïne beter in combinatie met leucine (24-12-2016)
De ongekende mogelijkheden van de Horny Goat Weed-leucine-cocktail (10-12-2016)
Krachttraining + glas melk + eetlepel leucine = meer spieren (21-6-2016)


Als leucine geen spiergroei stimuleert, combineer het dan met glycine

Dagelijkse inname van 7.12 gram leucine stopt spierverlies door veroudering

Leucine stimuleert spiergroei zonder training

Als leucine geen spiergroei stimuleert, combineer het dan met glycine
Veroudering, langdurige inactiviteit en andere condities waarbij het lichaam veel ontstekingsfactoren en oxidanten aanmaakt, kunnen de anabole werking van leucine elimineren. In dat geval biedt co-suppletie met glycine waarschijnlijk uitkomst.

Dagelijkse inname van 7.12 gram leucine stopt spierverlies door veroudering
Hoe en waarom veroudering spieren afbreekt snappen wetenschappers nog steeds niet, maar misschien weten ze ondertussen wel hoe je dat proces kunt stoppen.

Leucine stimuleert spiergroei zonder training
De dosis die voor zo'n spieropbouwende werking nodig is, is wel hoger dan de 3 gram die supplementenexperts doorgaans adviseren.