Opgeladen: 10-7-2016
Opgeborgen in: Testosteron & leefstijl, Sprinttraining
Translation: Long-term rise in testosterone levels as a result of cryotherapy after explosive training (10-10-2016)

Langdurige verhoging testosteronspiegel door cryotherapie na explosieve training

Sporters die na een explosieve training enkele minuten in een extreem koude cryokamer verblijven maken door langdurig meer testosteron aan dan sporters die geen cryotherapie ondergaan. Dat schrijven bewegingswetenschappers in een land ergens buiten Europa binnenkort in de Journal of Strength and Conditioning Research.

Studie
De onderzoekers, verbonden aan de universiteit van Swansea, lieten 14 elite-voetballers bij verschillende gelegenheden 15 keer sprinten. Elke sprint nam een halve minuut in beslag, en na elke sprint moesten de sporters versneld afremmen op een traject van slechts 10 meter. Die procedure, die bewegingswetenschappers forced deceleration noemen, zorgt voor extra belasting van de spieren.

Tussen de sprints namen de voetballers een minuut rust.

De ene keer rustten de sporters na hun sessie gewoon uit. Ze gingen zitten op een stoel. [Con] De andere keer stopten de onderzoekers de proefpersonen binnen twintig minuten na hun laatste sessie in een cryokamer.

De spelers verbleven eerst 30 seconden in een kamer met een temperatuur van -60 graden Celsius. Daarna verbleven ze 2 minuten in een tweede kamer, met een temperatuur van -135 graden Celsius.

Resultaten
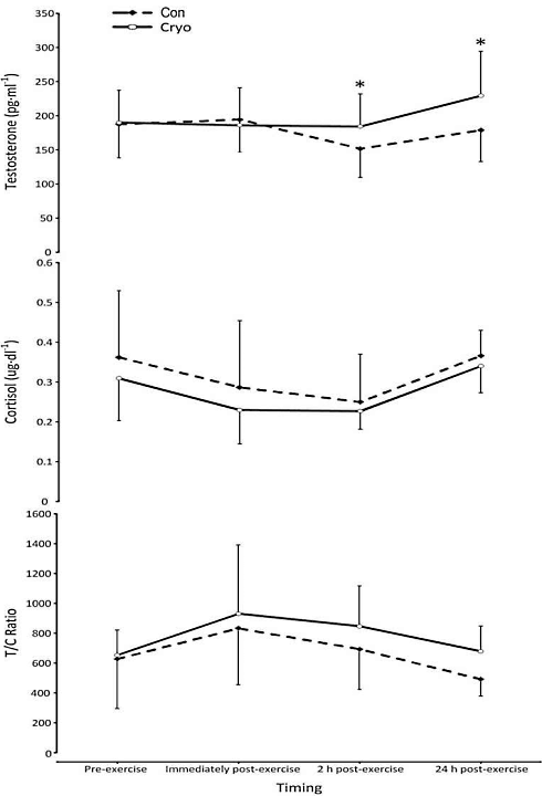
De cryotherapie verhoogde de concentratie testosteron in het speeksel. Statistisch significante effecten op de hoeveelheid cortisol in het speeksel vonden de onderzoekers niet. De ratio tussen de concentratie testosteron en cortisol veranderde evenmin.


Langdurige verhoging testosteronspiegel door cryotherapie na explosieve training



Vlak na de behandeling en 2 en 24 uur later bepaalden de onderzoekers het explosieve vermogen van de voetballers bij de countermovement jump. Ze vonden geen effect van de cryotherapie. Ook op de concentratie melkzuur en creatine-kinase in het bloed was de cryotherapie niet van invloed.

Conclusie
"A single session of whole body cryotherapy elicited greater testosterone concentrations for 24 hours after repeated sprint exercise when compared to a passive recovery protocol despite selected physiological, performance and perceptual markers being unaffected", vatten de niet-Europeanen samen. "Consequently, whole body cryotherapy administered shortly after intermittent exercise may offer an ergogenic strategy for soccer players involved in a congested fixture or training period."

Bron:
J Strength Cond Res. 2016 May 21. [Epub ahead of print].

Meer:
Cryotherapie laat sporters sneller herstellen (13-12-2011)


Warm en koud baden achter elkaar versnelt herstel spieren na training
Humaan onderzoek. Resultaten misschien moeilijk toepasbaar in praktijk.

Koud bad na krachttraining niet bevorderlijk voor spiergroei
Humane studie.

Dagje ouder? Koude douche beter voor je testosteronspiegel dan een warme
Dierstudie. Maar wel zo eentje die misschien je gedrag verandert.