Opgepoetst: 5-4-2020
Opgeladen: 29-3-2013
Opgeborgen in: Krachttraining, Hart & bloedvaten
Translation: Strength training helps prevent thrombosis (21-4-2013)

Krachttraining helpt trombose voorkomen

Krachttraining helpt trombose voorkomen
Eén van de gezondheidsrisico's die kleven aan leefstijl met te weinig beweging is trombose: het ontstaan van stolsels in het bloed die cruciale bloedvaten kunnen afsluiten. Onderzoekers van de University of Connecticut hebben ontdekt dat krachttraining tegen trombose kan beschermen. Een enkele sessie heeft al onmiddellijk effect - en dat effect is sterker bij mensen die regelmatig trainen met gewichten.

Trombose, PAI-1 en tPA
In een gezond mens zijn de systemen die bloed laten stollen en de systemen die bloedstolsels laten oploppen in evenwicht, maar in mensen met trombose is dat evenwicht zoek. Bij hen is bijvoorbeeld het enzym Plasminogen Activator Inhibitor-1 [PAI-1] naar verhouding te actief, of het enzym tissue Plasminogen Activator [tPA] juist niet actief genoeg.

Even voor de duidelijkheid: tPA breekt bloedstolsels af. PAI-1 remt tPA, en bevordert op die manier het ontstaan van bloedstolsels.

Onderzoekers weten al dat langdurige beweging met een matige intensiteit het bloedstolsel-afbrekende systeem stimuleert, en hoog-intensieve duurtraining zowel het bloedstollende als stolsel-afbrekende systeem activiteert. Mensen met een aanleg voor trombose zijn dus gebaat bij een leefstijl met - we noemen maar wat - veel lange wandelingen.

Maar hoe zit dat nou met krachttraining? Is krachttraining goed of juist niet goed voor mensen die trombose willen voorkomen?

Studie
Die vraag beantwoordden de onderzoekers met een proef waarin ze tien mensen met een zittende leefstijl en tien doortrainde krachtsporters zes sets lieten squatten met een gewicht waarmee net 10 reps mogelijk waren. Voor en na de sessie namen de onderzoekers de proefpersonen bloed af.

Resultaten
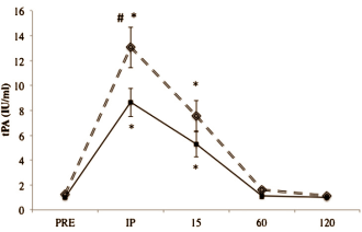
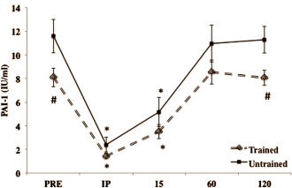
Toen ze dat bloed analyseerden, zagen ze dat zowel bij de niet-sportieve proefpersonen als de krachtsporters de activiteit van PAI-1 afnam en die van t-PA toenam.


Krachttraining helpt trombose voorkomen


Krachttraining helpt trombose voorkomen


Krachttraining laat het stollingsevenwicht dus verschuiven in een richting die gunstig is voor mensen met een aanleg voor trombose. Het effect is sterker in de ervaren sporters.

De krachttraining had geen effect op het stolselvormende fibrinogen, maar verhoogde wel de concentratie prothrombin fragment 1 + 2 en thrombin-antithrombin complexes. Dat zijn merkers voor bloedstolling.

De onderzoekers bepaalden ook de activated partial thromboplastin time. Dat is de uitkomst van een test die iets zegt over het evenwicht tussen stollings- en antistollingsfactoren. De onderzoekers ontdekten dat de workout het evenwicht verschoof in de richting van de antistollingsfactoren.

Conclusie
"Our findings suggest that habitual resistance training may limit the inhibitory activity of PAI-1 and enhance tPA activity, thereby allowing a favorable fibrinolytic state", concluderen de onderzoekers.

Bron:
Thromb Res. 2013 Jun;131(6):e227-34.

Meer:
Deze vorm van krachttraining is net zo goed voor hart en bloedvaten als hardlopen (19-3-2020)
Bloeddrukverlaging door beweging vergelijkbaar met verlaging door medicatie (28-12-2018)
Red Blood Cell Width Distribution: nog een manier waarop krachttraining de levensduur verlengt (10-4-2015)


Schaaltje bosbessen beschermt tegen hartinfarct Avocado's zijn nog beter voor hart en bloedvaten dan je denkt Hoe fitte mannen zichzelf beschermen tegen hartaanvallen

Schaaltje bosbessen beschermt tegen hartinfarct
Als je elke dag een schaaltje blauwe bessen eet, neemt je kans op een hart- of vaatziekte af met 15 procent.

Avocado's zijn nog beter voor hart en bloedvaten dan je denkt
Een dieet met relatief veel van de vetzuren die je vindt avocado verbetert het cholesterol. Maar volgens deze humane studie is dat niet het hele verhaal.

Hoe fitte mannen zichzelf beschermen tegen hartaanvallen
Als jonge mannen van in de twintig ouder worden, nemen de concentratie van het 'slechte cholesterol' LDL en die van de zo mogelijk nog slechtere triglyceriden in hun bloed automatisch toe.