Opgepoetst: 25-8-2019
Opgeladen: 11-10-2014
Opgeborgen in: Kankerpreventie, Prostaatkanker, Knoflook
Translation: Garlic, prostate cancer and Death Receptor-4 (5-11-2014)

Knoflook, prostaatkanker en Death Receptor 4

Knoflook
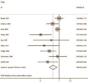
Hoe meer prei, uien, bieslook of knoflook mannen eten, hoe kleiner is hun kans op prostaatkanker. Epidemiologen van het China-Japan Friendship Hospital in de Chinese hoofdstad Bejing ontdekten het prostaatkankerremmende effect van Allium-groenten toen ze de gegevens uit 9 grote epidemiologische studies samenvoegden en opnieuw analyseerden. In totaal hadden de onderzoekers de beschikking over de gegevens van 132.192 mannen.

Knoflook
Niet alle studies die de Chinezen gebruikten vonden even sterke beschermende effecten van Allium-groenten. In sommige studies was het beschermende effect bijna nul. Maar volgens de samengevoegde studies - het diamantje in de figuur hieronder - verminderde de aanwezigheid van Allium-groenten in het dieet de kans op prostaatkanker met 18 procent.


Knoflook, prostaatkanker en Death Receptor 4


Knoflook, prostaatkanker en Death Receptor 4


Toen de onderzoekers hun gegevens verder uitsplitsten, ontdekten ze dat van alle Alllium-groenten knoflook - jazeker, knoflook is een groente - de sterkste beschermende werking had. Dat zie je hierboven.

Diallylsulphide
Diallylsulphide
In Allium-groenten, en vooral in knoflook, zit de verbinding die je hiernaast ziet: diallylsulphide. Een precursor van diallylsulphide is allicin, een stof die zich vanwege zijn antikatabole werking mag verheugen in de interesse van sportwetenschappers.

Onderzoekers vermoeden dat diallylsulphide kankercellen afremt. In 2012 publiceerden Koreaanse onderzoekers bijvoorbeeld een in vitro-studie [Int J Mol Sci. 2012 Nov 2;13(11):14158-71.] waarin ze menselijke prostaatkankercellen blootstelden aan diallylsulphide. De stof remde de groei van de kankercellen en liet ze zelfs zelfmoord plegen.

Hoe diallylsulphide prostaatkankercellen kan doden zie je linksonder: de stof laat de kankercellen meer Death Receptor 4 [DR 4] aanmaken. Door die receptor kunnen cytokines kankercellen doden. Rechtsonder zie je in ieder geval één gevolg van het toegenomen aantal doodsreceptoren: de kankercellen maken minder van het antizelfmoordeiwit BCL-2 aan.


Knoflook, prostaatkanker en Death Receptor 4


Conclusie
"Allium vegetables, especially garlic intake, are related with a low incidence of prostate cancer", concluderen de Chinese epidemiologen. "Because of the limited number of studies, further well-designed cohort or intervention studies are warranted to confirm the findings from our study."

Bron:
Asian Pac J Cancer Prev. 2013;14(7):4131-4.

Meer:
Elke kop koffie die je drinkt maakt je kans op prostaatkanker een beetje kleiner (23-1-2014)
Quercetin vergroot prostaatkankerremmende werking van groene thee (31-12-2013)
Cacao remt DHT, beschermt prostaat tegen testosteron (19-12-2013)


Elke dag een beetje knoflook, en je leeft drie jaar langer Knoflook, een beautyceutical met een luchtje Afslanken met knoflook gaat zonder dieet en zonder spierverlies

Elke dag een beetje knoflook, en je leeft drie jaar langer
Tot die slotsom komen Chinese en Amerikaanse epidemiologen in een studie die is verschenen in Nutrients.

Knoflook, een beautyceutical met een luchtje
Als je geregeld knoflook eet, blijft je huid misschien langer jong.

Afslanken met knoflook gaat zonder dieet en zonder spierverlies
Twee tabletten met elk 400 milligram knoflookextract per dag zijn voldoende.