Opgeladen: 23-6-2022
Opgeborgen in: Curcumine, In de pijplijn, Langer leven door suppletie
Translation: Is curcumin acetylsalicylate a life extender? (24-6-2022)

Is curcumine-acetylsalicylaat een levensverlenger?

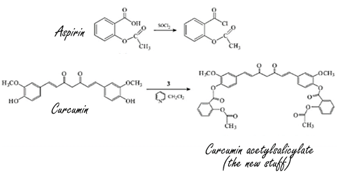
Straks verschijnt misschien een nieuwe generatie anti-aging nutri-chemicals op de grijze markt met structuurformules die je allemaal bekend voorkomen. Dat maken we op uit een studie die onderzoekers van Hunan University of Chinese Medicine publiceerden in Molecules. In hun publicatie stellen de auteurs de eerste van de mogelijke reeks alvast aan ons voor: curcumine-acetylsalicylaat.


Is curcumine-acetylsalicylaat een levensverlenger?



Studie
Curcumine-acetylsalicylaat ontstaat als je de moleculen van twee bestaande anti aging drugs aan elkaar vastplakt. De ene is uiteraard curcumine, de andere is aspirine. Over curcumine hebben we al tientallen keren geschreven. Onze stukjes over curcumine vind je hier.

Aspirine is een remmer van COX-enzymen en dus ook - we gaan met duivelse snelheid uiterst kort door een biochemische bocht - een remmer van ontstekingsreacties en de vorming van bloedstolsels. In gezonde mensen heeft toediening van aspirine voor zover bekend geen positieve gezondheidseffecten.


Is curcumine-acetylsalicylaat een levensverlenger?



Beide stoffen, curcumine en aspirine, zijn interessant. Wat voor stof krijg je als twee van zulke stoffen aan elkaar vastplakt? Wat zijn de gezondheidseffecten van aspirin curcumin ester?

Met proeven op het wormpje Caenorhabditis elegans, een geliefd modelorganisme in het antiverouderingsonderzoek, probeerde een groep creatieve Chinese onderzoekers een antwoord op die vraag te formuleren.

Levensverlenging
Toen de onderzoekers de wormpjes blootstelden aan curcumine-acetylsalicylaat [CA], zagen ze dat de dieren langer leefden. In de optimale concentratie verlengde de nieuwe stof de gemiddelde life span van de diertjes met iets meer dan 11 procent.


Is curcumine-acetylsalicylaat een levensverlenger?



Is curcumine-acetylsalicylaat een levensverlenger?



Is curcumine-acetylsalicylaat een levensverlenger?



Mechanisme
Op celniveau is een merker van veroudering de ophoping van lipofuscine, een moeilijk op te ruimen molecuul dat het functioneren van weefsels vermindert. Toediening van curcumine-acetylsalicylaat verminderde de concentratie van lipofuscine.

Waarschijnlijk stimuleert curcumine-acetylsalicylaat de activiteit van genen als daf-16. Mensen hebben een aantal verschillende versies van dat gen. Bij ons heten ze FOXO. Het zijn genen die reparatieprocessen in cellen opstarten.


Is curcumine-acetylsalicylaat een levensverlenger?



Conclusie
"Much more investigation will also be needed about how the mechanisms underlying curcumin acetylsalicylate effects differ from those of curcumin and aspirin", schrijven de Chinezen.

"Nevertheless, our study has opened a new avenue to develop novel anti-aging drugs."

Bron:
Molecules. 2021 Oct 31;26(21):6609.

Meer:
Cur2004-8 is effectiever dan curcumine, zegt dierstudie (10-7-2020)


Voedingspatroon met veel spermidine verlengt je levensduur (met misschien wel 6 jaar) Dierstudie | Combinatie van glycine en NAC verlengt maximale levensduur met 40 procent AKG-kuur maakt je 8 jaar jonger

Voedingspatroon met veel spermidine verlengt je levensduur (met misschien wel 6 jaar)
In veel, heel veel voedingsmiddelen zit spermidine. Het is een polyamine waaraan de voedingswetenschap nooit veel aandacht aan heeft gegeven. Ten onrechte.

Dierstudie | Combinatie van glycine en NAC verlengt maximale levensduur met 40 procent
Dierstudie.

AKG-kuur maakt je 8 jaar jonger
Volgens reageerbuisstudies en dierstudies is AKG een razend interessant longevity-supplement. Een heuse humane studie, weliswaar uitgevoerd zonder controlegroep, wijst in dezelfde richting.