Opgeladen: 2-1-2024
Opgeborgen in: Plantenextracten, Suppletie voor meer uithoudingsvermogen, Astaxanthine, Carotenoïden
Translation: Astaxanthin for cyclists (3-1-2024)

Astaxanthine voor wielrenners

Suppletie met het carotenoid astaxanthine verbetert het uithoudingsvermogen van sporters. Een dagelijkse dosis van 12 milligram verkort de tijd die wielrenners nodig hebben om een tijdrit van 40 kilometer af te leggen met 1.2 procent.


Astaxanthine voor wielrenners


Studie
Engelse onderzoekers van Loughborough College gaven gedurende 7 dagen 12 getrainde recreatieve wielrenners elke dag 12 milligram astaxanthine. Op de zevende en laatste dag van de week moesten de renners een tijdrit van 40 kilometer fietsen.

De onderzoekers gebruikten een product van het Zweedse AstaReal. AstaReal financierde het onderzoek.

Bij een andere gelegenheid herhaalden de onderzoekers de procedure. Toen kregen de wielrenners een placebo.

Astaxanthine
Astaxanthine is een carotenoid uit algen als Haematococcus pluvialis. De moleculaire structuur lijkt sprekend op die van luteïne en die bèta-caroteen. [Figuur] Het verschil zit hem in de O- en OH-groepen aan de uiteinden van het molecuul van astaxanthine.


Astaxanthine voor wielrenners


Deze structuur geeft astaxanthine niet alleen een bijzonder sterke antioxidantwerking, maar zorgt er ook voor dat astaxanthine zich laat opzuigen door membranen in de cel en een positie inneemt waarbij de koppen van het molecuul uitsteken aan de buitenzijden van de membraan. Daardoor beschermt astaxanthine zowel aan de binnen- als de buitenzijde van de membraan.

Resultaten
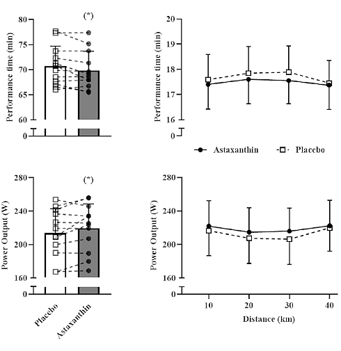
Suppletie met astaxanthine verkortte de tijd die de wielrenners nodig hadden om hun 40K-tijdrit te voltooien met 1.2 procent. Dat komt neer op 50 seconden. Het verschil was statistisch significant.

Astaxanthine liet ook de power van de wielrenners een beetje toenemen. En ook dat verschil was statistisch significant.


Astaxanthine voor wielrenners


Astaxanthine voor wielrenners


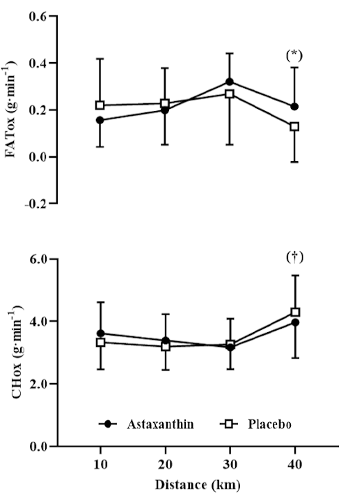
In de laatste 10 kilometer van de tijdrit verbrandden de wielrenners nadat ze astaxanthine hadden gebruikt een beetje meer vet en een beetje minder koolhydraten. Dat geeft de Britten een idee met wat voor werkingsmechanisme ze te maken hebben.

Mechanisme
"Astaxanthin accumulates in the mitochondrial membrane following consumption where it is suggested to indirectly enhance fatty acid oxidation through protecting CPT1 from oxidative modifications during exercise", speculeren de Britten.

"The expression of AMPK is also reported to be upregulated following astaxanthin intake."

"As a key enzyme in skeletal muscle metabolism, AMPK is implicated in the stimulation of fatty acid oxidation; the transportation of fatty acids into the mitochondria, potentially through the intercalation of CPT1 and fatty acid translocase/CD36; as well as the upregulation of transcription factors, such as peroxisome proliferator-activated receptor-gamma coactivator-1alpha (PGC-1-alpha), that are known to promote mitochondrial biogenesis and control mitochondrial oxidative capacity."

Bron:
J Sci Med Sport. 2021 Jan;24(1):92-7.

Meer:
Astaxanthine beschermt spiercellen bij extreme inspanning en verbetert uithoudingsvermogen | Dierstudie (22-3-2016)
Astaxanthine tilt duurinspanningen op een hoger plan | Dierstudie (6-2-2008)
Astaxanthine verhoogt uithoudingsvermogen en vetverbranding in dierstudie (18-10-2007)


Hoe meer kilometers je rent, hoe groter je behoefte aan omega-3-vetzuren Ook sporters die dagelijks koffie drinken reageren prima op supplementen met cafeine Onder deze omstandigheden is quercetine een effectief supplement voor sporters

Hoe meer kilometers je rent, hoe groter je behoefte aan omega-3-vetzuren
Hardlopers - en waarschijnlijk ook andere duursporters - verbeteren hun gezondheid als ze dagelijks 1-2 gram omega-3-vetzuren extra binnenkrijgen.

Ook sporters die dagelijks koffie drinken reageren prima op supplementen met cafeïne
Deze humane studie verscheen in 2011 in de Journal of Sports Sciences.

Onder deze omstandigheden is quercetine een effectief supplement voor sporters
Als sporters krap in hun energie zitten en bovendien weinig hersteltijd hebben, kunnen ze hun uithoudingsvermogen fiks verhogen door suppletie met een gram quercetine per dag.