Opgeladen: 10-7-2024
Opgeborgen in: Thee, Cosmeceuticals, Plantenextracten
Translation: Black tea protects the skin against sunlight & inhibits aging | In vitro study (11-7-2024)

Zwarte thee beschermt de huid tegen zonlicht & remt veroudering | In vitro-studie

Zwarte thee beschermt de huid misschien tegen overmatige blootstelling aan zonlicht. Zwarte thee zou ook wel eens de veroudering van de huid kunnen afremmen. Dat suggereert een in vitro-studie die in 2021 verscheen in de Journal of Photochemistry & Photobiology.


Zwarte thee beschermt de huid tegen zonlicht & remt veroudering | In vitro-studie


Studie
Chinese farmacologen, verbonden aan Hunan Agricultural University, stelden menselijke huidcellen in petrischaalthes bloot aan UVB-licht. UVB is het bestanddeel van zonlicht dat bij overmatige blootstelling de huid kan beschadigen. Gebeurt dat consequent, dan kan de kans op huidkanker toenemen en versnelt het tempo waarin de huid veroudert.

De wetenschappelijke naam voor dat fenomeen is photo aging. Photo aging veroorzaakt 80 procent van de huidveroudering, vermoeden dermatologen.

Theaflavines
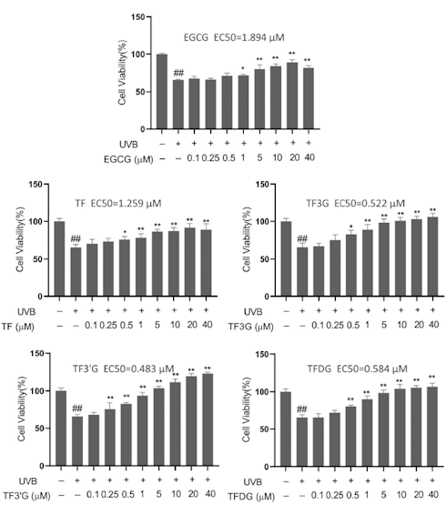
Tegelijkertijd stelden de onderzoekers de cellen bloot aan oplopende concentraties van EGCG, de voornaamste bioactieve stof in groene thee, plus een viertal theaflavines. Theaflavines zitten in zwarte thee. Recente studies suggereren dat de biologische effecten van theaflavines niet onderdoen voor die van EGCG.

De onderzoekers testten 4 theaflavines. Je ziet ze hieronder. Klik op de figuur voor een grotere versie.


Zwarte thee beschermt de huid tegen zonlicht & remt veroudering | In vitro-studie


Resultaten
Blootstelling aan UVB verminderde de vitaliteit van de cellen, maar EGCG en theaflavines hieven dat effect gedeeltelijk op. Hoe hoger hun concentratie, hoe groter hun effect.

De theaflavines beschermden beter dan EGCG. Van de theaflavines kwam theaflavine-3'-gallaat [TF3'G] als meest effectieve beschermer uit de bus.


Zwarte thee beschermt de huid tegen zonlicht & remt veroudering | In vitro-studie


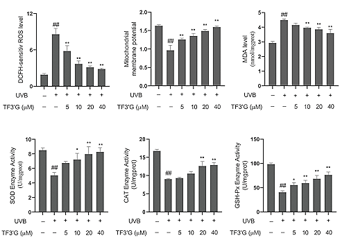
De figuren hieronder geven je een indruk van de manier waarop theaflavine-3'-gallaat de huid beschermt tegen UVB. De stof vermindert de activiteit van vrije radicalen [ROS] en reduceert ook de schade die vrije radicalen aanrichten [MDA].

Daarnaast vermindert theaflavine-3'-gallaat, tijdens blootstelling aan UVB, functieverlies van de mitochondria en de activiteit van beschermende endogene enzymen als catalase en SOD.

Zwarte thee beschermt de huid tegen zonlicht & remt veroudering | In vitro-studie


Conclusie
"Tea can delay aging", schrijven de onderzoekers. "Theaflavins, known as the 'soft gold' in tea, are the core functional components of black tea."

"The research laid a theoretical foundation for the high-value utilization of black tea and theaflavins in the future."

Bron:
J Photochem Photobiol B. 2021 Nov:224:112304.

Meer:
Huid verjongt door vijf koppen groene thee per dag (29-8-2014)


Je huid gezonder maken met collageen? Zo weinig heb je nodig... Hoe propolis huidveroudering blokkeert Minuscule dosis piceatannol verbetert gezondheid van de huid | Trial

Je huid gezonder maken met collageen? Zo weinig heb je nodig...
Als het gaat om producten die de huid jong en gezond houden, is collageen is misschien wel het best bestudeerde supplement.

Hoe propolis huidveroudering blokkeert
Suppletie met propolis, de wasachtige stof waarmee bijen hun nesten bouwen, kan huidveroudering afremmen. In vitro-studie.

Minuscule dosis piceatannol verbetert gezondheid van de huid
Zit er muziek in een skinceutical-formule die zowel piceatannol als pinitol bevat? Trial.