30.03.2011

Vitamine D verbetert spierkwaliteit

De meeste mensen op deze planeet hebben te weinig 25-hydroxy-vitamine D in hun bloed. Hun spierweefsel is daardoor van mindere kwaliteit. Radiologen van de University of Southern California in Los Angeles ontdekten dat er in de spieren van jonge vrouwen twintig procent meer vet zit als hun vitamine D-spiegel te laag is.

De meeste mensen op deze planeet hebben te weinig 25-hydroxy-vitamine D in hun bloed. Hun spierweefsel is daardoor van mindere kwaliteit. Radiologen van de University of Southern California in Los Angeles ontdekten dat er in de spieren van jonge vrouwen twintig procent meer vet zit als hun vitamine D-spiegel te laag is.
Hele volksstammen hebben minder vitamine D in hun bloed dan zou moeten. Aanvankelijk vonden onderzoekers het tekort aan de vitamine vooral bij bewoners van het barbaarse Noorden, waar de zon bijna nooit schijnt en, als de zon dan een keer achter de wolken tevoorschijn komt, dierenbeulen van chefs mensen dwingen om in kantoren achter PC-schermen te zitten. Wel, das war einmal.

Later vonden onderzoekers dat ook in zonovergoten landen als Turkije, Libanon, de Verenigde Arabische Emiraten, India en het Australische continent 30-50 procent van de mensen een gebrekkige vitamine vitamine D-status heeft. [N Engl J Med. 2007 Jul 19;357(3):266-81.] In Brazilië heeft zelfs 60 procent van de gezonde jongvolwassenen te weinig vitamine D in het bloed. [Ann Nutr Metab. 2009;54(1):15-21.]

Voldoende vitamine D is een voorwaarde voor sterke spieren. Een theorie is dat vitamine D voedingsstoffen als calcium en fosfor de spieren inloodst. Daardoor kunnen spieren beter samentrekken en werken groei- en verbrandingsprocessen beter.

In dierproeven krijgen ratten die worden vetgemest meer spieren en minder vet door extra vitamine D. In humane studies verbranden proefpersonen meer kcals na een ontbijtmaaltijd met een halve gram calcium en 9 microgram vitamine D. Ouderen die supplementen met vitamine D slikken zijn fysiek sterker, net als sporters met veel vitamine D in hun bloed.

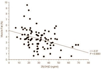
De onderzoekers bepaalden met scans de spier- en lichaamssamenstelling van 90 jonge vrouwen van 16-22 jaar. Daarvan hadden er 37 voldoende vitamine D in hun bloed, en 53 te weinig. Hoe meer vitamine D de vrouwen in hun bloed hadden, hoe minder vet zat er in hun spieren. Vervet spierweefsel is minder sterk en minder gevoelig voor insuline. Geen van de vrouwen klaagde tussen twee haakjes over spierzwakte.


De meeste mensen op deze planeet hebben te weinig 25-hydroxy-vitamine D in hun bloed. Hun spierweefsel is daardoor van mindere kwaliteit. Radiologen van de University of Southern California in Los Angeles ontdekten dat er in de spieren van jonge vrouwen twintig procent meer vet zit als hun vitamine D-spiegel te laag is.


De meeste mensen op deze planeet hebben te weinig 25-hydroxy-vitamine D in hun bloed. Hun spierweefsel is daardoor van mindere kwaliteit. Radiologen van de University of Southern California in Los Angeles ontdekten dat er in de spieren van jonge vrouwen twintig procent meer vet zit als hun vitamine D-spiegel te laag is.


Te weinig vitamine D in het bloed ging samen met meer onderhuids vet [SF] en meer buikvet [VF]. Vrouwen met veel vitamine D hadden ook meer beenspieren dan vrouwen met weinig vitamine in hun bloed, maar dat verschil was statistisch niet significant.

Goed, vitamine D is een afgezaagd voedingssupplement. Pilletjes met vitamine D zijn niet zo spannend als exotische plantenextracten of zwaar gedoseerde aminozuren. Maar het ziet er naar uit dat veel sporters een beetje sterker, gespierder en slanker kunnen worden als ze hun inname van vitamine D verhogen.

Bron:
J Clin Endocrinol Metab. 2010 Apr;95(4):1595-601.

Meer:
Meer spieren en minder vet in de bulk door extra vitamine D (12-5-2010)
Vitamine D-suppletie vergroot spierkracht (4-9-2008)
Vitamine D versnelt vetafbraak tijdens afvallen, beschermt de vetvrije massa (19-2-2008)