03.05.2014

Vijftig keer effectiever dan standaard-curcumin

Een nieuw curcuminsupplement is bijna vijftig keer effectiever dan recht-toe-recht-aan curcumin. Dat schrijven Amerikaanse onderzoekers in Nutrition Journal.
Een nieuw curcuminsupplement is bijna vijftig keer effectiever dan recht-toe-recht-aan curcumin. Dat schrijven Amerikaanse onderzoekers in Nutrition Journal.

Antioestrogeen, testosteronverhogend, bot-opbouwemd, kankerremmend, anabool, afslankend en antidepressief. Curcumin is het allemaal. Geen wonder dat curcumin volgens de cijfers van Nutrition Business Journal bij de tien best verkochte supplementen in de VS hoort, en experts verwachten dat curcumin net zo'n succes gaat worden als - pak hem beet - omega-3-vetzuren. [nutraingredients-usa.com 07-Nov-2013]

Een probleempje is alleen dat het lichaam curcumin slecht opneemt. Of beter gezegd: de dunne darm neemt curcumin wel op, maar vrijwel onmiddellijk daarna zetten curcumin om in inactieve of minder actieve stoffen.

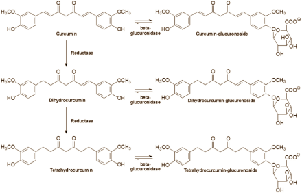
In het schema hieronder zie je links hoe curcumin omzet in het nog steeds actieve dihydrocurcumin en tetrahydrocurcumin, en rechts hoe enzymen curcumin en zijn metabolieten glucuronideren - en daarmee praktisch uitschakelen.


Een nieuw curcuminsupplement is bijna vijftig keer effectiever dan recht-toe-recht-aan curcumin. Dat schrijven Amerikaanse onderzoekers in Nutrition Journal.


Ingrediëntenleveranciers en onderzoekers hebben manieren bedacht waarmee ze de opname van curcumin kunnen verhogen. Je kunt curcumin bijvoorbeeld combineren met piperine, schreven we twee weken geleden.

De producent van BCM-95((R))CG beproefde een andere methode, en combineerde curcumin met kurkumaolie. [Indian J Pharm Sci. 2008 Jul-Aug;70(4):445-9.] [CTR] Een andere technologie is het combineren van curcumin met lecithine tot 'curcumin phytosomes'. [J Nat Prod. 2011 Apr 25;74(4):664-9.] [CP]

Het Amerikaanse OmniActives [omniactives.com] past in zijn nieuwe curcuminpreparaat CurcuWin weer een andere technologie toe. Het combineerde curcumin, vitamine C en E en polyvinyl-pyrrolidone met elkaar tot een complex dat oplosbaar is in water. [CHC]

Eerder in 2014 publiceerde Ralf Jäger van onderzoeksbureau Increnovo een door OmniActives gesponsorde studie, waarin hij de hierboven genoemde preparaten met elkaar vergeleek. [Nutr J. 2014 Jan 24;13:11.] In die studie slikten 12 proefpersonen bij vier verschillende gelegenheden telkens dezelfde hoeveelheid curcumin, maar telkens in een andere vorm. CS = standaard curcumin.

De proefpersonen aten bij de inname niet. Later op de dag gebruikten ze twee maaltijden. De onderzoekers registreerden 12 uur na inname de hoeveelheid curcumin in hun bloed. De figuren hieronder laten zien hoe het product van de sponsor het beste presteerde. Op de tweede plaats kwam de applicatie waarbij de fabrikant curcumin had gecombineerd met lecithine.


Een nieuw curcuminsupplement is bijna vijftig keer effectiever dan recht-toe-recht-aan curcumin. Dat schrijven Amerikaanse onderzoekers in Nutrition Journal.

Een nieuw curcuminsupplement is bijna vijftig keer effectiever dan recht-toe-recht-aan curcumin. Dat schrijven Amerikaanse onderzoekers in Nutrition Journal.

Een nieuw curcuminsupplement is bijna vijftig keer effectiever dan recht-toe-recht-aan curcumin. Dat schrijven Amerikaanse onderzoekers in Nutrition Journal.


"A formulation of curcumin with a combination of hydrophilic carrier, cellulosic derivatives and natural antioxidants significantly increases curcuminoid appearance in the blood in comparison to unformulated standard curcumin CS (45.9-fold), CTR (34.9-fold) and CP (5.8-fold)", concluderen de onderzoekers.

Bron:
Nutr J. 2014 Jan 24;13:11.

Meer:
Piperine maakt curcumin effectiever (19-4-2014)