24.01.2013

Supplement met EGCG en cafeïne verdrijft de kou

Supplement met EGCG en cafeine verdrijft de kou

Je wilt eigenlijk naar buiten, maar je hebt geen zin in de kou. In dat geval heb je misschien baat bij een supplement met EGCG en cafeïne. Volgens fysiologen van Hôpital Montfort in Canada verhogen die supplementen de aanmaak van warmte door je lichaam, waardoor je beter bestand bent tegen de onaangename temperaturen daarbuiten.

Bruin vetweefsel

Kun je door kou afvallen? Ratten en muizen wel, mensen niet, dachten wetenschappers tot voor kort. Knaagdieren hebben bruin vetweefsel dat meer warmte produceert naarmate de omgevingstemperatuur lager is, volwassen mensen niet. Maar nadat er in 2009 studies verschenen waaruit bleek dat ook in jongvolwassenen actief bruin vetweefsel aanwezig is [N Engl J Med. 2009 Apr 9;360(15):1500-8.] denken wetenschappers er anders over.

Die ontdekking opent perspectieven, aldus de Canadese fysiologen. Zou je kunnen afvallen als je dat bruine vetweefsel harder laat werken? Dan denk je om te beginnen aan blootstelling aan kou. Maar zou je door toediening van stoffen de aanmaak van warmte door het bruine vetweefsel nog verder kunnen opvoeren?

Cafeïne
Dat zou zomaar kunnen. In 1990 toonden onderzoekers al aan dat proefpersonen meer kcals verbranden als ze bij een temperatuur van 5 graden Celsius per kg lichaamsgewicht 5 mg cafeïne slikken. [J Appl Physiol. 1990 May;68(5):1889-95.] En jawel, dat verhoogde calorieverbruik is waarschijnlijk het gevolg van een verhoogde warmteproductie door de bruine vetcellen.

Studie
De Canadezen vermoedden dat zo'n effect beter uit de verf komt als je cafeïne combineert met EGCG, een flavonoid in groene thee. Dus deden ze een proef met 8 mannelijke studenten, die 600 mg cafeïne en 1600 mg EGCG slikten en 3 uur lang werden blootgesteld aan een temperatuur van 15 graden Celsius. De onderzoekers voerden hun proef ook een keer uit nadat de mannen een placebo hadden gekregen.

Resultaten
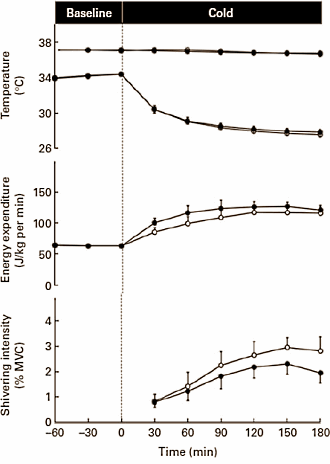
De onderzoekers bepaalden vervolgens hoeveel energie de mannen verbruikten door warmte aan te maken, en hoeveel energie ze verbruikten door te rillen. De curven met de zwarte balletjes staan voor de metingen toen de mannen cafeïne en EGCG hadden geslikt. Zoals je ziet verhoogde de combinatie de aanmaak van warmte, en verminderde het supplement het energieverbruik door rillen.


Supplement met EGCG en cafeine verdrijft de kou


Supplement met EGCG en cafeine verdrijft de kou


De suppletie verhoogde de aanmaak van warmte met tien procent, en verminderde de intensiteit van het rillen met een kwart.

Conclusie
"Although some inter-individual differences were observed, EGCG and caffeine seem to stimulate non-shivering thermogenesis either by a notable increase in energy expenditure or a decreasein shivering intensity", schrijven de Canadezen.

"The present study provides an experimental approach for human investigations into the potential role of diet and bioactive food ingredients in modulating non-shivering thermogenesis during cold exposure. Stimulating non-shivering thermogenesis pathways in such a manner may not only prove to be important for improving fine motor performance and survival in cold exposed human subjects, but may also provide important targets in the search of targets for the management of obesity and diabetes."

Bron:
Br J Nutr. 2013 Jul 28;110(2):282-8.

Meer:
Kop groene thee verbrandt vijf gram vet (6-8-2012)
Ook een beetje cafeïne verbrandt vet - met theefenolen (30-7-2012)
Stackers met groene thee werken niet zonder beweging (23-4-2010)