Opgeladen: 8-6-2017
Opgeborgen in: Meer testosteron door leefstijlmodificatie
Translation: Stress and fatigue reduce testosterone just as much as age does (7-8-2017)

Stress en vermoeidheid zijn net zulke sterke testosteronverlagers als leeftijd

Leeftijd is een belangrijke bepalende factor van de hoeveelheid testosteron die in het lichaam van mannen circuleert, maar het is niet de enige. Onderzoekers van het Amerikaanse leger ontdekten dat stress en vermoeidheid misschien net zo belangrijk zijn. Het zou zomaar kunnen dat mannen hun testosteronspiegel verhogen als ze hun stressniveau verlagen en ervoor zorgen dat ze goed uitgerust zijn.

Studie
Onderzoekers van het Naval Health Research Center in San Diego bepaalden de testosteronspiegel van 57 mannen van een elite-eenheid. Met vragenlijsten en basale metingen brachten ze de BMI, de slaap, stress, vermoeidheid en bloeddruk van de mannen in kaart.


Stress en vermoeidheid zijn net zulke sterke testosteronverlagers als leeftijd



Resultaten
Leeftijd was een belangrijke voorspeller van de testosteronspiegel. Die was op z'n hoogst bij de soldaten van 28-31 jaar. Daarna kachelde hij naar beneden.


Stress en vermoeidheid zijn net zulke sterke testosteronverlagers als leeftijd



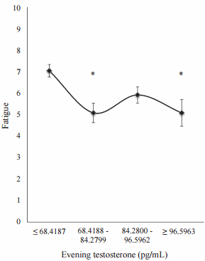
Ook de vermoeidheid die de soldaten rapporteerden speelde een rol. Hoe hoger het cijfer dat de soldaten aan hun vermoeidheid toekenden, hoe lager was hun testosteronspiegel.


Stress en vermoeidheid zijn net zulke sterke testosteronverlagers als leeftijd



Hetzelfde gold voor stress. Hoe meer stress de mannen ervoeren, hoe lager was hun testosteronspiegel.

Hoge scores voor stress en vermoeidheid hingen net zo sterk samen met een lage testosteronspiegel als leeftijd. BMI en slaap speelden in deze studie geen rol van betekenis.

Hieronder zie je de correlatie tussen testosteron, stress, vermoeidheid, leeftijd, BMI en slaap. Hoe dichter een correlatie bij 1 of -1 zit, hoe sterker het verband.


Stress en vermoeidheid zijn net zulke sterke testosteronverlagers als leeftijd



Conclusie
Meer stress en meer vermoeidheid gaan dus samen met minder testosteron. De onderzoekers vermoeden dat in het eerste geval stress de testosteronspiegel verlaagt, en dat in het tweede geval de vermoeidheid een gevolg is van de lagere testosteronspiegel. Maar helemaal zeker weten doen ze dat niet. Voor hetzelfde geld verlaagt ook vermoeidheid de testosteronspiegel.

Bron:
Steroids. 2017 May 21;124:18-22.

Meer:
Verbetering van leefstijl verhoogt testosteronspiegel vijftigers (28-11-2015)
Hoge glucosespiegel verlaagt afgifte testosteron (25-2-2014)
Meer slapen kan je testosteronspiegel vertweevoudigen (13-1-2013)


Overgewicht halveert testosteronspiegel in tieners
Als je meer kilo's lichaamsvet met je meezeult dan goed voor je is, circuleert er minder testosteron in je bloed dan de Lieve Heer & Moeder Natuur eigenlijk voor jou in petto hadden.

Testosteronspiegel is in de herfst het hoogste
De testosteronspiegel gaat niet alleen omhoog en omlaag gedurende de dag, maar fluctueert ook per seizoen.

Gezond leven verhoogt je testosteronspiegel
Vanaf het dertigste levensjaar daalt de testosteronspiegel van mannen. Maar als je tot de kleine groep supergezonde mannen behoort, dan valt die daling reuze mee.