|
Quercetine voorkomt dat stresshormoon spiercellen afbreekt
Studie
Resultaten
Quercetine verminderde de vitaliteit de spiercellen niet, zie je in het midden van de figuur hieronder. Quercetine kon echter wel het effect van betamethason grotendeels opheffen. Dat zie je rechtsonder.
Klik op de figuur voor een grotere versie.
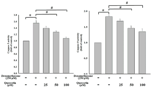
Door blootstelling aan dexamethason nam de productie van vrije radicalen [ROS] in de spiercellen toe, en gingen meer spiercellen dood [Apoptotic cells]. Quercetine kon dat effect gedeeltelijk opheffen.
De onderzoekers denken dat dexamethason en andere hormonen met een vergelijkbare werking spiercellen doden door hun energievoorziening te verminderen. Dit gebeurt door het compromitteren van de mitochondria in de spiercellen.
Dat leiden de Taiwanezen onder meer af uit het effect van betamethason op het Bax-eiwit. Bax zet een rem op de energieproductie door mitochondria, en speelt een rol in veel cellulaire zelfmoordmechanismen.
Conclusie
"As a food supplement, quercetin has substantial benefits in relieving dexamethasone-induced skeletal muscle injury and could serve as an alternative natural plant resource for the prevention or treatment of muscle atrophy syndrome."
"The potent antioxidant activity of quercetin renders it suitable to be used as a dietary supplement for patients under long-term dexamethasone treatment to regulate mitochondria health in skeletal muscle."
Bron: Meer:
|
|
|||||||||||||||||||||||||||||||||||||||