24.04.2014

Dierstudie: Q10 verzacht psychologische stress, bestrijdt misschien depressie

Suppletie met fikse doses Q10 kan de schade verminderen die serieuze psychologische stress aanricht in het lichaam. Dat concludeert Sawsan Aboul-Fotouh van Ain Shams University in Egypte uit een experiment met mannelijke ratten. Misschien kan Q10 zelfs helpen bij de bestrijding van depressie.

Q10
Als je proefdieren maar genoeg stress bezorgt, dan stoppen ze vanzelf met eten. Labratten verliezen door stress zelfs hun trek in suiker, waar ze onder normale omstandigheden net zo verzot op zijn als de Homo sapiens die ratten in kooitjes stopt en rare proefjes met ze doet. Uiteindelijk gaan de dieren zelfs dood.

Onderzoekers bezorgen ratten stress door ze een paar uur in krappe perspex cilindertjes op te sluiten, waarin de dieren geen kant op kunnen. Hersencellen lopen door die stressprikkel op de langere termijn schade op. Hun mitochondria raken bij langdurige en chronische stress door de overprikkeling beschadigd. En laat Q10 mitochondria nou precies tegen dat type schade beschermen.

Q10 is een cellulaire bliksemafleider. De cel prikt Q10-moleculen als punaises in de membraan van mitochondria, waar ze electrische ladingen die vrijkomen opvangen en neutraliseren. Vandaar dat Aboul-Fotouh zich afvroeg of Q10 stressprikkels kan verminderen bij opgroeiende mannelijke ratten die hij 6 uur per etmaal opsloot in cilindertjes.

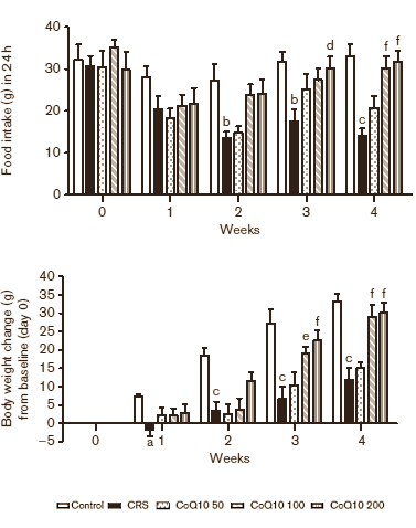
Tijdens de 4 weken dat het experiment duurde aten de gestressde ratten [CRS] minder dan ratten die geen stressprikkels kregen [Control]. Ze groeiden ook minder snel.


Suppletie met fikse doses Q10 kan de schade verminderen die serieuze psychologische stress aanricht in het lichaam. Dat concludeert Sawsan Aboul-Fotouh van Ain Shams University in Egypte uit een experiment met mannelijke ratten. Misschien kan Q10 zelfs helpen bij de bestrijding van depressies.


Toediening van Q10 - Aboul-Fotouh injecteerde de Q10 direct in de darmen van zijn proefdieren - herstelde de eetlust, en normaliseerde de groei. Hoe hoger de dosis, des te sterker was het stressremmende effect.

Suppletie met fikse doses Q10 kan de schade verminderen die serieuze psychologische stress aanricht in het lichaam. Dat concludeert Sawsan Aboul-Fotouh van Ain Shams University in Egypte uit een experiment met mannelijke ratten. Misschien kan Q10 zelfs helpen bij de bestrijding van depressies.
Toen de onderzoeker hersencellen uit frontale cortex en de hypothalamus van de dieren bestudeerde, zag hij dat de suppletie met Q10 de activiteit van het enzym creatine-kinase verhoogde. Dat betekent waarschijnlijk dat Q10 hersencellen over meer energie laat beschikken, en ze daardoor beter bestand maakt tegen de overprikkeling door stress.

Depressies zijn vaak het gevolg van serieuze en langdurige stress. De uitkomsten van zijn onderzoek suggereren dat suppletie met Q10 misschien depressies kan verzachten of helpen voorkomen, vermoedt Aboul-Fotouh. "It seems reasonable to propose that the administration of co-enzyme Q10 might be a useful therapy for depressive disorders", schrijft hij.

De doses die de onderzoeker toendiende waren jammer genoeg schunnig hoog. Hoe je het humane equivalent ervan berekent lees je hier. Daarbij moet je wel opmerken dat Aboul-Fotouh ubiquinone gebruikte. Volgens gesponsord onderzoek is de Q10-analoog ubiquinol 5 keer effectiever dan ubiquinone. Meer over de verschillen tussen ubiquinol en ubiquinone lees je hier.

Zou je de stressremmende / antidepressieve werking van ubiquinol kunnen versterken door de combinatie met creatine? Als je deze studie hebt gelezen, ben je geneigd te denken van wel.

Bron:
Behav Pharmacol. 2013 Aug 7. [Epub ahead of print].

Meer:
Meer uithoudingsvermogen en mitochondria door mix van Q10 en andere mitochondrial nutrients (3-6-2011)
Dierstudie: combinatie creatine en Q10 beschermt hersencellen, verlengt levensduur (21-5-2011)