01.03.2013

Portie vlees na workout stimuleert spiergroei

Portie vlees na workout stimuleert spiergroei
Een portie eiwitten na je training stimuleert spiergroei. Het gros van het onderzoek waaruit we dat weten heeft betrekking op eiwitshakes, vooral op basis van whey. Maar een portie vlees werkt ook. Dat schrijven Canadese bewegingswetenschappers van McMaster University in Applied Physiology, Nutrition, and Metabolism.

De onderzoekers experimenteerden met 35 mannen van gemiddeld 59 jaar. De dagen voordat het experiment begon consumeerden de mannen dagelijks 1 gr eiwit per kg lichaamsgewicht per dag.

De onderzoekers lieten de mannen hun ene been trainen op een leg-extension-machine, en hun andere been niet. Ze maakten 3 sets van 8-10 reps.

Na de benentraining gaven de onderzoekers de mannen kregen 0, 57, 113 of 170 gr gebraden rundergehakt. Dat correspondeert met 0, 12, 24 of 36 gr eiwit. Het gehakt bestond voor 15 procent uit vet. De portie van 170 gr leverde dus ook 26 gr vet.

Na de maaltijd namen de onderzoekers monsters uit de beenspieren van de mannen, en bepaalden daarin de myofibrillar protein synthesis [MPS] - zeg maar: de aanmaak van spiervezels. Je ziet dat het gehakt in het ongetrainde been [FED] de aanmaak van spiervezeleiwit stimuleerde, en dat dat effect sterker was in het getrainde been [FED+EX].


Portie vlees na workout stimuleert spiergroei


Portie vlees na workout stimuleert spiergroei


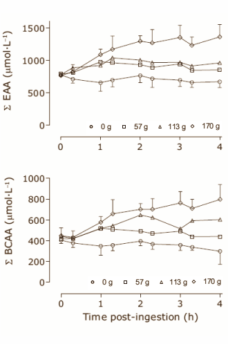
Vlees is een langzaam eiwit, aldus de figuren hierboven. Die vertellen dat 4 uur na inname de concentratie essentiële aminozuren en BCAA's nog steeds steeg.

De onderzoekers weten niet zeker wat er zou gebeuren als de mannen na hun workout nog meer vlees dan de geteste 170 gr zouden consumeren. Ze vermoeden echter dat 170 gr zo ongeveer de optimale hoeveelheid is.

Het onderzoek is betaald door de National Cattlemen's Beef Association [beef.org] en door Canada Beef [canadabeef.ca].

Bron:
Appl Physiol Nutr Metab. 2013 Feb;38(2):120-5.

Meer:
Overleeftip: vervang biefstuk door kipfilet (26-3-2012)
Met magere vis gaat afvallen vlotter dan met mager vlees (17-11-2009)
Dertig gram en negentig vleeseiwit stimuleren aanmaak spierweefsel even goed (26-8-2009)