20.12.2010

Meer dan een halve kilo afvallen per week maakt katabool

Als sportieve vrouwen willen afvallen kunnen ze misschien beter genoegen nemen met een halve kilo gewichtsverlies per week. Finse bewegingswetenschappers, verbonden aan de University of Jyvaskyla, ontdekten dat hun testosteronspiegel snel daalt als het gewichtsverlies sneller gaat. Het waarschijnlijke gevolg daarvan? Spierverlies.

Studie
De onderzoekers deden een experiment met 15 vrouwen van gemiddeld 28 jaar. De vrouwen trainden al minimaal een half jaar met gewichten en deden aan aerobics. Ze gingen 4 weken op dieet. Alle vrouwen consumeerden dagelijks per kilogram lichaamsgewicht 1.4 gram eiwit.

De helft van de vrouwen at dagelijks 1100 kilocalorieen minder dan de vrouwen verbrandden. Met zo'n dieet val je in theorie wekelijks 1 kg af. De andere helft at dagelijks 550 kilocalorieen minder dan de vrouwen verbrandden. Zo'n dieet zou wekelijks een halve kilo gewichtsverlies moeten veroorzaken.

Resultaten
En inderdaad. Toen de 4 weken voorbij waren was de 1KG-groep 3.9 kg kwijtgeraakt, en de 0.5KG-groep 2.2 kg. Je ziet het effect op het totale lichaamsgewicht hier pal onder.

Vetvrije massa verloren de vrouwen, dankzij hun training en hun eiwitrijke dieet, praktisch niet. De 1KG-groep verloor 3.8 kg vet, de 0.5KG-groep 2.0 kg vet, vertelt de tweede figuur hieronder.


Meer dan een halve kilo afvallen per week maakt katabool


Meer dan een halve kilo afvallen per week maakt katabool


De trainingsresultaten blijven in beide groepen stabiel, op een enkel puntje na: omdat de vrouwen lichter worden, kunnen ze hoger springen.

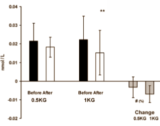
De vrouwen in de 1KG-groep voelen zich echter minder goed dan de vrouwen in de 0.5KG-groep. De eerstgenoemde vrouwen zijn vaker slaperig en moe. In hun bloed daalt de testosteronspiegel fors. Dat zie je in de figuur hieronder.


Meer dan een halve kilo afvallen per week maakt katabool


Hoe meer kilo's vetmassa de vrouwen per week verliezen, des te meer kukelt de testosteronspiegel naar beneden.


Meer dan een halve kilo afvallen per week maakt katabool


Conclusie
Vrouwen kunnen dus beter met een rustig tempo afvallen dan met een hoog tempo, aldus de onderzoekers. Je hebt alertheid in het dagelijks leven nodig, en bovendien heeft de hormonale verandering waarschijnlijk negatieve gevolgen.

"A weight reduction of 0.5 kg per week with approximately 1.4 g protein/kg/day can be recommended to normal weighted, physically active women instead of a larger weight reduction, because the latter may lead to a catabolic hormonal state", concluderen de Finnen. En wat "a catabolic hormonal state" precies betekent, dat hoeven we je niet te vertellen...

Bron:
J Int Soc Sports Nutr. 2010 Jan 25;7(1):4.