16.08.2011

Het EPO-effect van rode bietensap

In elke reformzaak ligt een product waarmee duursporters hun prestaties kunnen verbeteren: ordinair rode bietensap. Drink twee uur voordat je moet rijden of rennen een halve liter van het spul, en volgens een humane studie van de University of Exeter ben je een krappe drie procent sneller.

De ergogene werking van rode bietensap zit hem niet in een bijzondere vitamine-analoog, een obscuur flavonoid of een alkaloid, maar in een stof waarvoor voedingswetenschappers tien-twintig jaar geleden nog waarschuwden dat je er beter niet teveel van kunt eten: nitraat. Anno nu lijken de risico's van natuurlijke voedingsnitraten wel mee te vallen, en ontdekken onderzoekers dat nitraten zelfs positieve gezondheidseffecten hebben. Nitraten zijn immers precursoren van het jelui wellicht bekende stikstofmonoxide - of kortweg NO.

NO is een 'goed' vrij radicaal. Krachtsporters kennen NO als een stof die jonge spiercellen zegt dat ze moeten uitgroeien tot volwaardige spiercellen, duursporters kennen NO als een vaatverwijdend middel dat de toevoer van zuurstof naar spiercellen verhoogt. Als die duursporters het wetenschapsnieuws een beetje volgen, dan kennen ze misschien het onderzoek van dezelfde Britten, dat aantoonde dat NO spiercellen bij intensieve duurinspanning zuiniger met zuurstof laat omspringen. [J Appl Physiol. 2009 Oct;107(4):1144-55.] Dat komt omdat NO spiercellen meer energie laat halen uit hun creatine en ATP, en het moment uitstelt dat de spiercel koolhydraten gaat verbranden.

Het EPO-effect van rode bietensap
[Komt zomaar in ons op: als een bodybuilder nou bietensap drinkt voordat hij gaat supersetten - gaat zijn EPOC dan omhoog?]

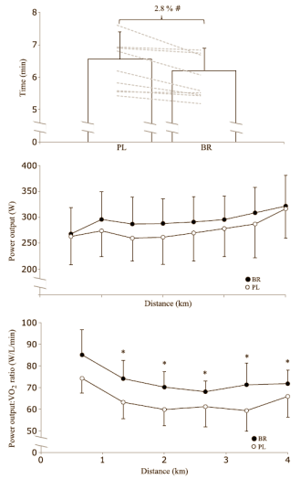
In het onderzoek dat onlangs verscheen in Medicine & Science in Sports & Exercise gaven 9 doortrainde wielrenners een halve liter bietensap en lieten ze 2 uur later een tijdrit van 4 km rijden. De onderzoekers herhaalden de procedure nadat ze de renners nitraatvrije bietensap [PL] hadden geven. Je zie hieronder dat bietensap [BR] de tijd waarin de renners de 4 km aflegden met 2.8 procent verminderde, hun power output en de ratio power output:zuurstofverbruik verhoogde.


Het EPO-effect van rode bietensap


De onderzoekers boekten soortgelijke resultaten toen ze de renners een tijdrit van 16 km lieten maken.

"It should be recognized that the relationship between dietary nitrate intake and human health is controversial", besluiten de Britten hun publicatie. "Although increased consumption of nitrate-rich natural vegetable products is unlikely to be harmful to health, presently little is known about the effects of chronic ingestion of nitrate at high doses."

Bron:
Med Sci Sports Exerc. 2011 Jun;43(6):1125-31.