11.10.2013

Chlorogenic acid jaagt glucose de spiercellen in

Chlorogenic acid  is een prominent bestanddeel van koffie en supplementen met Green Coffee Bean-extract. De verbinding is misschien geschikt voor gebruik in bodybuilding-, afslank- en duursportsupplementen, suggereert een studie van de National University of Singapore. Chlorogenic acid verhoogt de gevoeligheid van spiercellen voor insuline, en jaagt glucose de spiercel in.
Chlorogenic acid [structuurformule hiernaast] is een prominent bestanddeel van koffie en supplementen met Green Coffee Bean-extract. De verbinding is misschien geschikt voor gebruik in bodybuilding-, afslank- en duursportsupplementen, suggereert een studie van de National University of Singapore. Chlorogenic acid verhoogt de gevoeligheid van spiercellen voor insuline, en jaagt glucose de spiercel in.

Chlorogenic acid is rijkelijk aanwezig in onze voeding. Er is waarschijnlijk geen fenol waarvan we zoveel binnenkrijgen als chlorogenic acid. Een kop koffie bevat al snel meer dan 100 mg, en de totale dagelijkse inname van forse koffiedrinkers loopt in de grammen. Een overzicht van wat deze webstek eerder schreef over chlorogenic acid vind je hier.

Koffiedrinkers zijn beschermd tegen diabetes type-2. Voedingswetenschappers vermoeden dat die bescherming mede het werk is van chlorogenic acid.

Farmacologen van de National University of Singapore wilden meer begrijpen over het effect van chlorogenic acid op de werking van insuline, en deden daarom een serie experimenten met spiercellen van dikke muizen met diabetes type-2.

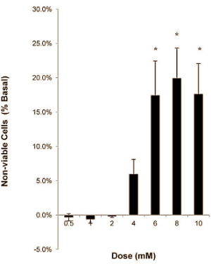
Je ziet hieronder dat in de controlegroep [DC] van dikke muizen minder glucose zijn weg vond naar de soleus-spier dan in de slanke muizen [Lean]. Toediening van chlorogenic acid verhoogde de opname van glucose, zeker in combinatie met insuline. Toxisch voor spiercellen werd chlorogenic acid pas in een concentratie van meer dan 2 millimol.


Chlorogenic acid  is een prominent bestanddeel van koffie en supplementen met Green Coffee Bean-extract. De verbinding is misschien geschikt voor gebruik in bodybuilding-, afslank- en duursportsupplementen, suggereert een studie van de National University of Singapore. Chlorogenic acid verhoogt de gevoeligheid van spiercellen voor insuline, en jaagt glucose de spiercel in.


Chlorogenic acid  is een prominent bestanddeel van koffie en supplementen met Green Coffee Bean-extract. De verbinding is misschien geschikt voor gebruik in bodybuilding-, afslank- en duursportsupplementen, suggereert een studie van de National University of Singapore. Chlorogenic acid verhoogt de gevoeligheid van spiercellen voor insuline, en jaagt glucose de spiercel in.


Chlorogenic acid  is een prominent bestanddeel van koffie en supplementen met Green Coffee Bean-extract. De verbinding is misschien geschikt voor gebruik in bodybuilding-, afslank- en duursportsupplementen, suggereert een studie van de National University of Singapore. Chlorogenic acid verhoogt de gevoeligheid van spiercellen voor insuline, en jaagt glucose de spiercel in.


Chlorogenic acid  is een prominent bestanddeel van koffie en supplementen met Green Coffee Bean-extract. De verbinding is misschien geschikt voor gebruik in bodybuilding-, afslank- en duursportsupplementen, suggereert een studie van de National University of Singapore. Chlorogenic acid verhoogt de gevoeligheid van spiercellen voor insuline, en jaagt glucose de spiercel in.


Als de onderzoekers het enzym AMPK saboteerden met AMPK-siRNAs verdween het effect. Deden ze dat niet, dan nam de activiteit van AMPK toe naarmate de concentratie chlorogenic acid toenam. De onderzoekers konden aantonen dat chlorogenic acid via AMPK de glucose-transporter GLUT4 activeerde. Activatie van GLUT4 vindt ook plaats na inspanning.

De onderzoekers vermoeden dat chlorogenic acid - in de vorm van reguliere voedingsmiddelen, super-foods of supplementen - nuttig is voor mensen met diabetes type-2 - al zijn daarvoor eerst nog "further experiments" nodig, vinden ze, "to support our hypothesis that chlorogenic acid increases peripheral glucose disposal in skeletal muscle and therefore lowering fasting blood glucose".

Wijzelf dromen echter al van toepassingen in koolhydraatsupplementen voor duursporters en calorierijke post-workout-producten met snel opneembare suikers voor krachtsporters, en dieetproducten voor mensen die op een slimme manier willen afslanken.

Bron:
PLoS One. 2012;7(3):e32718.

Meer:
Studie: kilo's extra gewichtsverlies tijdens afslankdieet door Green Coffee Bean-extract (bevat chlorogenic acid) (15-8-2013)
Rode wijn (bevat chlorogenic acid) verhoogt testosteronspiegel (13-9-2012)
Gedroogde pruimen (bevatten chlorogenic acid) verhogen IGF-1-spiegel in mensen (17-5-2012)