Opgeladen: 8-1-2012
Opgepoetst: 4-11-2015
Opgeborgen in: Langer leven door leefstijlmodificatie
Translation: Exercise delays aging as much as caloric restriction does (2-2-2012)

Bewegen vertraagt veroudering evenveel als calorische restrictie

Als je je levensduur wilt verlengen, dan is je meest effectieve optie nog steeds dat je de rest van je leven zo'n 20 procent minder kcals eet dan je eigenlijk nodig hebt. Honger jezelf levenslang uit, en leef je enkele tientallen procenten langer dan normaal. Geen pretje, nee. Maar er is misschien een alternatief dat net zo goed werkt.

Langer leven door honger
De hongermethode - onderzoekers hebben het liever over 'calorische restrictie' - prikkelt cellen om zich te repareren. In studies leven proefdieren daardoor tientallen procenten langer dan normaal. Levensverlengers die dezelfde methode toepassen op zichzelf betalen daarvoor echter een hoge prijs. Door de ondervoeding hebben ze het voortdurend koud, hebben ze moeite met concentreren en verliezen ze de interesse in eigenlijk alles - inclusief seks. Ze gaan eigenlijk als een zombie door het leven.

Studie
Onderzoekers, verbonden aan de University of Florida, vroegen zich af of je die 20 procent van je calorische behoefte perse moet 'inleveren' in de vorm van minder eten. Ze vregen zich af of je die ook kunt verbranden? Dus deden ze een proef met 18 gezonde mannen en vrouwen van 50-60 jaar.

De helft van de proefpersonen ging een jaar op dieet, en at gedurende die periode 20 procent minder kcal dan ze eigenlijk nodig hadden. [CR]

De andere helft bleef normaal eten, maar verhoogde de hoeveelheid lichaamsbeweging zoveel dat ze net zoveel extra energie verbruikten als de proefpersonen 'inleverden' doordat ze minder aten. [EX]

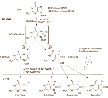
Voor en na de proefperiode bepaalden de onderzoekers in de urine van de proefpersonen de concentratie van FapyGua, 8-oxoGua, 8-oxoGuo en 8-oxodGuo [het staat verkeerd in de tabellen hieronder]. Dat zijn afbraakproducten van guanine.

Guanine is, samen met adenine, thymine en cytosine, een bouwsteen van erfelijk materiaal. Hoe meer afbraakproducten van guanine er in de urine zitten, des te groter is de slijtage van het erfelijk materiaal en waarschijnlijk ook het tempo van veroudering.

Resultaten
Calorische restrictie en een verhoogde verbranding verminderden allebei de concentratie van de afbraakproducten.


Bewegen vertraagt veroudering evenveel als calorische restrictie


Bewegen vertraagt veroudering evenveel als calorische restrictie


Bewegen vertraagt veroudering evenveel als calorische restrictie


De onderzoekers haalden daarnaast RNA- en DNA-materiaal uit de witte bloedcellen van de proefpersonen, en telden daarin het aantal beschadigde bouwsteentjes. Ze ontdekten dat beweging eigenlijk nog iets beter werkte dan minder eten.


Bewegen vertraagt veroudering evenveel als calorische restrictie


Conclusie
"Energy deficits created through both CR and EX reduce DNA and RNA damage to WBC, potentially by reducing systemic oxidative stress", concluderen de onderzoekers.

Bron:
Rejuvenation Res. 2008 Aug;11(4):793-9.

Meer:
Fitheid beschermt tegen cellulaire roest (2-1-2012)
Word fitter, verouder langzamer (31-12-2011)
Verhoog je VO2max en vertraag je veroudering (2-4-2011)


Dierstudie: inuline-vezels verlengen levensduur met dertig procent
Inuline is een prebioticum.

Ginkgo is een levensverlenger
Jazeker. Een heuse humane studie.

Mannen leven langer door ginseng
Nog een humane studie. Het is een beetje feest vandaag.