Ergogenics

  [Definitie:] "An ergogenic aid is any substance or phenomenon that enhances performance." (Wilmore and Costill)

  Nieuwsbrief over doping, supplementen, voeding en training

  Ongewone anabole methoden       Krachttraining & voeding       Eiwitten       Koolhydraatarm dieet    

1 3 - 0 7 - 2 0 1 0

  Koolhydraatarm maar eiwitrijk dieet laat spieren groeien zonder training (J Clin Endocrinol Metab. 2005 Sep;90(9):5175-81.)

Als je van een standaard-Westers dieet overstapt op een low carb-eiwitdieet groeien je spieren. Dat ontdekten bewegingswetenschappers van de University of Michigan toen ze een experiment deden met 8 jonge mannen en vrouwen. Saillant detail: de proefpersonen trainden niet met gewichten.

Insuline, vertellen de leerboeken nog steeds, is een belangrijk anabool hormoon. Omdat je insulinespiegel omhoog gaat als je koolhydraten eet - op intraveneus toegediende glucose reageert de insulinespiegel in mindere mate - dachten wetenschappers tot voor kort dat een koolhydraatarm dieet de spiermassa vermindert. Praktijkervaringen van bodybuilders en studies van antropologen en archeologen wijzen echter een andere kant op.

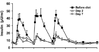
Vandaar dat de onderzoekers besloten tot een experiment waarin 4 mannen en evenveel vrouwen van gemiddeld 29 jaar hun standaarddieet voor een week verruilden voor een door de voedingswetenschap verketterd low carb-eiwitdieet. In getallen: de proefpersonen hadden aanvankelijk een dieet dat voor 60 procent uit carbs bestond, voor 30 procent uit vet en voor 10 procent uit eiwit [Before diet]. Dat vervingen ze door een dieet dat voor 35 procent uit eiwit bestond, voor 60 procent uit vet en slechts voor 5 procent uit koolhydraten.

Hieronder zie je dat daardoor de insulinespiegel fors daalde. Je ziet hoe de insulinespiegel in het Before diet piekt na de drie hoofdmaaltijden, maar dat de pieken van het low carb-eiwitdieet weinig meer voorstellen.


Koolhydraatarm maar eiwitrijk dieet laat spieren groeien zonder training


De aanmaak van groeihormoon liep terug, maar de afname was niet statistisch significant. Hetzelfde geldt voor de concentratie IGF-1 in de bloedbaan. Het gros van het IGF-1 in de bloedbaan ontstaat als de lever groeihormoon in stukjes knipt.


Koolhydraatarm maar eiwitrijk dieet laat spieren groeien zonder training


Je zou verwachten dat de spiermassa terugliep, maar dat gebeurde niet. De onderzoekers namen cellen uit de beenspier vastus lateralis en bepaalden daarin de aanmaak van spierweefsel. Die was juist verhoogd door de overstap op het low carb-eiwitdieet.


Koolhydraatarm maar eiwitrijk dieet laat spieren groeien zonder training


In de spiercellen had het eiwitdieet de activiteit van anabole signaalmoleculen verhoogd. Het meest in het oog springende effect was dat de spiercellen meer IGF-1 gingen aanmaken. Dat is anders IGF-1 dan in de bloedbaan circuleert.


Koolhydraatarm maar eiwitrijk dieet laat spieren groeien zonder training


Goed, insuline is een anabool hormoon. Vraag het maar aan Milos Sarcev. Maar de verhoogde mactivatie van anabole mechanismen in de spiercel door een low carb-eiwitdieet weegt zwaarder dan het wegvallen van insuline. "Increasing dietary protein content during a carbohydrate restricted diet may be important for preventing or attenuating a net loss of body protein", concluderen de onderzoekers.

Navigatie

Nieuws

Contact

Over ons

Dossiers

Zoeken