|
3 0 - 1 1 - 2 0 1 0
Gel met aminophylline haalt vet op buik weg (Diabetes Obes Metab. 2007 May;9(3):300-3.)
De gels die je op je buik kunt smeren en vervolgens vet wegtoveren zouden best wel eens kunnen werken. Dat constateerden onderzoekers van Louisiana State University die 50 ietwat mollige mannen en vrouwen 12 weken lang een gel met aminophylline op hun taille lieten smeren.
Op sommige plaatsen van je lichaam zit vet dat er verdraaid moeilijk weggaat. Dat komt, ontdekten onderzoekers in de jaren negentig, omdat de vetcellen op die plekken minder gevoelig zijn voor pephormonen als adrenaline. Die dwingen vetcellen hun inhoud af te staan aan de bloedbaan, zodat de organen die kunnen verbranden.
De oplossing? Stoffen die cellen gevoeliger maken adrenaline, zoals cafeïne, speculeerden de onderzoekers. Die moleculen kunnen door de huid in het lichaam geraken, en in de vetcellen daaronder een receptor blokkeren die is bedoeld voor adenosine. Als adenosine interacteert met die receptor gaat de stofwisseling naar beneden en vermindert de adrenaline-gevoeligheid. Steken cafeïne en zijn analogen daar een stokje voor, dan gaat de stofwisseling een tandje omhoog en neemt de gevoeligheid voor adrenaline juist toe.

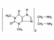
Aminophylline |

Theophylline |
|

Cafeïne |

Theobromine |
|

Uric acid |

Adenosine |
Theobromine en theophylline zijn gestripte versies van cafeïne. Aminophylline bestaat uit twee theophyllinemoleculen die door ethylenediamine (zeg maar: een moleculaire paperclip) bij elkaar worden gehouden. In het lichaam valt aminophylline uiteen in twee theophyllinemoleculen.
Met de keuze voor aminophylline maakten de onderzoekers het zich moeilijk.
"In developing aminophylline cream, it was appreciated that aminophylline is a skin sensitizer and chemically reactive due to the ethylenediamine it contains", schrijven ze. "A standard cream base turned yellow from a chemical reaction with aminophylline. This yellow cream was ineffective and caused rashes in some subjects. Using a specially formulated cream base to stabilize the aminophylline, the safety and efficacy was demonstrated."
De gel werkte en verdubbelde de afname van de taille-omvang door het dieet. Op andere plekken van het lichaam trad het effect niet op.
In een eerdere studie beproefden de onderzoekers een gel die niet voor 0.5 maar voor 2 procent uit aminophylline bestond. Vrouwen die die gel op hun dijen smeerden zagen hun onderhuidse vet slinken - zonder dieet en zonder extra beweging. [Obes Res. 1995 Nov;3 Suppl 4:561S-568S.]
|
|
|