Ergogenics

  [Definitie:] "An ergogenic aid is any substance or phenomenon that enhances performance." (Wilmore and Costill)

  Nieuwsbrief over doping, supplementen, voeding en training

  Detectie van anabolen       Anabolen & risico's     Vergeten Anabolen  Vergeten anabolen     Anabolen & Studies  Anabolen & studies    

0 3 - 0 1 - 2 0 0 7

  Gevonden: 4,11-beta-dihydroxy-testosteron (US Patent 3,060,201)
Een paar dagen geleden schreven we over 11-beta-hydroxy-anabolen, een vergeten groep androgenen met een verrassend krachtige werking.
In een patent uit de vroege jaren zestig vonden we een nauw verwante groep anabole steroiden, die voor zover we weten niet op de markt zijn gekomen.
Het patent staat op naam van een groep Italiaanse onderzoekers die je kunt beschouwen als de uitvinders van clostebol, norclostebol, 4-hydroxy-nandrolon en 4-hydroxy-testosteron.
4,17Beta-dihydroxy-17-methylandrosta-4-en-3-one
Bekende preparaat uit hun koker waren natuurlijk Clostebol en Steranabol. Steranabol was een ester van 4-hydroxy-nandrolon. Minder bekend is Oxymesterone, de 17-methyl-analoog van 4-hydroxy-testosteron. De structuurformule zie je hierboven.
In het patent uit 1962 vertellen de Italianen hoe ze een reeks orale anabolen hebben gemaakt op basis van testosteron en nandrolon met een hydroxylgroep op het vierde koolstofatoom. Die groep doet twee dingen: hij maakt het omzetten in estradiol zo goed als onmogelijk, en hij zorgt waarschijnlijk voor een sterker hechting aan de androgeenreceptor.
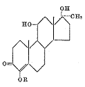
Gevonden: 4,11-beta-dihydroxy-testosteron
Het patent behandelt niet alleen verbindingen met een hydroxylgroep aan C4, maar ook verbindingen die een hydroxylgroep aan C11 hebben. Het bouwplan van die verbindingen zie je hiernaast.
De tabel hieronder vertelt hoe een aantal van deze anabolen presteren in dierstudies.

Gevonden: 4,11-beta-dihydroxy-testosteron

De orale 4,11-di-hydroxy-analoog van methyltestosteron doet het beter dan de moedercomponent.

Gevonden: 4,11-beta-dihydroxy-testosteron

Een paar cijfers, ontleend aan het patent. De anabole werking van 4-hydroxy-methyltestosteron is drie keer groter dan die van methyltestosteron, en vijf keer groter dan die van ethylnandrolon. De androgene werking van 4-hydroxy-methyltestosteron is minder dan die van methyltestosteron.
De anabole werking van 4,11-di-hydroxy-methyltestosteron is echter zes tot tien keer groter dan die van methyltestosteron. De androgene werking van 4,11-dihydroxy-ethyltestosteron en methyltestosteron zijn gelijk.
Het allerkrachtigste middel in het patent is echter 4-hydroxy-methylnandrolon. De anabole werking overtreft die van methyltestosteron met een factor 27, en de androgene werking is vijf maal hoger dan die methyltestosteron.
De progesteronwerking van 4-hydroxy-methylnandrolon is overigens nul, en volgens het patent werkt het bovendien ook nog eens anti-oestrogeen.
Het is bijna niet te geloven, maar 4-hydroxy-methylnandrolon was tot voor een paar jaar als 'supplement' op de markt. Het was de actieve stof in producten als Oxavar en Oxanavar.
De onderzoekers hebben geen 4,11-di-hydroxy-nandrolones gemaakt.

0 3 - 0 1 - 2 0 0 7

  Vrachtwagen met 350.000 euro aan anabolen aangehouden (Deutscher Depeschendienst 02.01.2007) [Offline]
Agenten hebben in het Duitse Oberasbach een man van 37 en een vrouw van 33 opgepakt. De twee bestuurden een bestelbus die was afgeladen met "25 000 Ampullen und 550 000 Tabletten".
De politie kende de twee al op 18 december in na een tip van een automobilist, die zag hoe de kisten van Tsjechische vrachtwagen werden overgeplaatst naar een kleinere wagen.
De twee zijn inmiddels weer vrij. Ze riskeren een gevangenisstraf van maximaal vijf jaar.

0 2 - 0 1 - 2 0 0 7

  1952: Pasgeboren kinderen krijgen testosteron (Pediatrics Vol. 10 No. 1 July 1952, pp. 28-32.)
Een abstract uit een periode waarin endocrinologen de term bijwerkingen nog niet kenden. Artsen gaven te vroeg geboren, en te lichte kinderen injecties met testosteron of methyltestosteron via hun voeding. De proef mislukte. De kinderen groeiden niet sneller door de androgenen.
Je vraagt je af hoe het met die kinderen is afgelopen.

Navigatie

Nieuws

Contact

Over ons

Dossiers

Zoeken